Community Tip - You can subscribe to a forum, label or individual post and receive email notifications when someone posts a new topic or reply. Learn more! X
Hello!
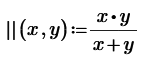
Can we use the infix notation for a function name in Prime?
For Example, I want to create a function for parallel resistors
and use it for the circuit element by typing R1 || R2 for example. It was possible in Mathcad 15.
Attached the sample from Mathcad 15.
Solved! Go to Solution.
No, sadly, that (and post-fix) which were available in version 15 have not been implemented in Prime. (We keep hoping that "yet" still applies!)
Hi,
You can find the symbol on the ribbon menu at
Math | Operators and Symbols | Symbols | Math Symbols.
Cheers
Terry
Thanks, but I mean to write in classical electrical symbol form. Like here (Mathcad 15)
Not ||(R1,(R2+R3)) but R1 || (R2+R3)
No, sadly, that (and post-fix) which were available in version 15 have not been implemented in Prime. (We keep hoping that "yet" still applies!)
