These values cannot be compared
Hi there,
I have a rather long (50+ pages) mathcad (Prime 9) sheet that I have built to be fully parametric. After changing one of the variables I suddenly find that one of the functions is not working as intended without an apparent reason.
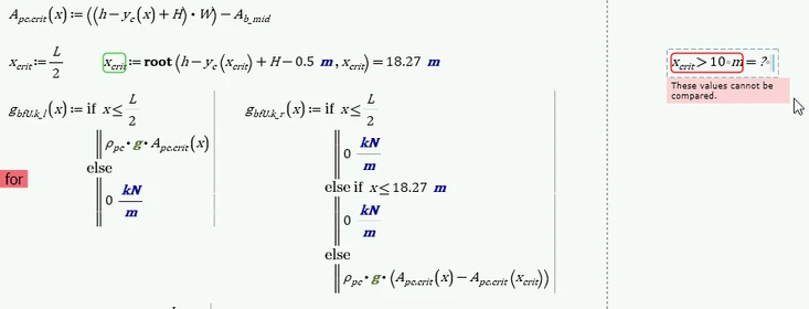
I have located the source of my problems, but I cannot seem to comprehend why is it throwing this error. I am using root function to solve for the location of the critical x as shown below. In my previous iteration for a different set of input parameters, this function worked as intended, but as I changed one (in this case L, though I doubt it matters too much), I am getting an error that these values cannot be compared even though they are clearly the same unit and allow for algebraic operations such as addition, subtraction etc, but when compared against another variable of the same unit I get this error.
If I manually create a new variable, lets say y.crit and give it the exact same value ( through key input ) everything works again, though I do need it to react parametrically.
Does someone with more experience in debugging have a slightest clue on what the problem could be here?
Thank you very much!


