Community Tip - Visit the PTCooler (the community lounge) to get to know your fellow community members and check out some of Dale's Friday Humor posts! X
I am getting error this value must be a scalar what is wrong with the worksheet.
Are you really expecting h.n to be a 3 x 3 matrix with a total of 9 values?
I guess you just want it to be a 3 x 1 matrix( vector), correct?
So you should do it that way (no need for the range j):
For the subsequent calculations I would not use the range variable(s) but rather use the vectors as function arguments and use vectorization (the arrow over the expression):
Modified Prime 9 sheet attached
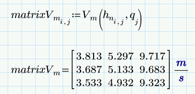
After looking closer in your sheet I guess now, that you actually wanted hn to be a 3x3 matrix, covering all combinations of the three TQ values and the three LCp percentages.
To make it work you have to name the guess value differently from the result matrix, e.g.
Don't display the matrix using the ranges i, and j as it will look like a vector if you do so
Similar for the other subsequent calculations
Instead of displaying
you may rather assign the function result to a variable and display it
Thank you Werner for the help. In here why it is necessary to have hhn instead of hn also, the result output hnij how do I get 1 4 and 7 value as 1 2 and 3 value the hierarchy is mismatching any suggestions
@BT_10780541 wrote:
Thank you Werner for the help. In here why it is necessary to have hhn instead of hn also, the result output hnij how do I get 1 4 and 7 value as 1 2 and 3 value the hierarchy is mismatching any suggestions
Sorry - if thats a question, I don't understand it 😞
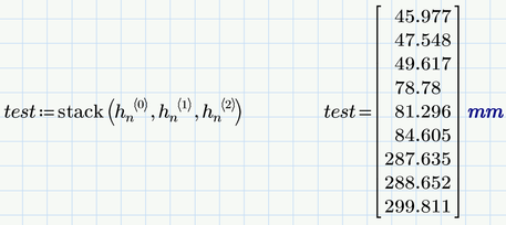
Sorry for not being clear enough. While evaluting the below variable can we have all values of i first in hnij In this matrix as its is getting evaluated at 1 , 4 and 7 row can I ahve it as 1 2 and 3?
Hmmm, are you looking for a a 3x1 matrix where every entry is a 3x1 matrix again?
Or are you looking for a table with sort of row and column headers
BTW, you should not use the ranges to display the results like you did with
What you see is NOT a vector bit the result of applied implicit loops (the ranges) and you will notice that you are not able to assign that to a variable
Maybe you are looking for a vector like this:
