Community Tip - Did you get called away in the middle of writing a post? Don't worry you can find your unfinished post later in the Drafts section of your profile page. X
Hi Folks,
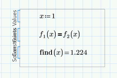
This is probably an easy one. Is there any way to suppress the labels for solve blocks, or at least rotate them so they aren't such a mess? The solve block works fine, but I don't want to use this in a presentation. The examples in the documentation don't have the labels off to the left, so there must be some way to turn them off.
Thanks 😉
Solved! Go to Solution.
I agree that the solve blocks look quite ugly in Prime but I don't think that there is away to change this.
I am not sure which "documentation" you are referring to. To the best of my knowledge a documentation which would deserve that name does not exist - just the help pages. In real Mathcad we had a good documentation (up to MC14 even in printed form) and up to MC11 it also included a concise and large reference section.
What we see in the help pages of Prime are not solve blocks, but just the regions inside and the border you see there around them seems not to be original border of the Prime solve block. I guess this was done to be able to use them for all language versions of the help pages.
On contrary to the help in real Mathcad the help pages are not live, working Mathcad worksheets but rather only HTML pages where some expression were underlaid with the code of Prime regions which you can copy to your worksheet using the offered "Copy Expression" button.
If you copy as solve block from the help pages to a live worksheet that way, you again have the ugly display.
--->
For presentation you might have to resort to some trickery, I fear. You may hide the original solve block in a collapsed region and paste an edited picture of the block without the labels below. Of course it would not be a live worksheet now anymore and for me this sure would not be worth the effort.
I agree that the solve blocks look quite ugly in Prime but I don't think that there is away to change this.
I am not sure which "documentation" you are referring to. To the best of my knowledge a documentation which would deserve that name does not exist - just the help pages. In real Mathcad we had a good documentation (up to MC14 even in printed form) and up to MC11 it also included a concise and large reference section.
What we see in the help pages of Prime are not solve blocks, but just the regions inside and the border you see there around them seems not to be original border of the Prime solve block. I guess this was done to be able to use them for all language versions of the help pages.
On contrary to the help in real Mathcad the help pages are not live, working Mathcad worksheets but rather only HTML pages where some expression were underlaid with the code of Prime regions which you can copy to your worksheet using the offered "Copy Expression" button.
If you copy as solve block from the help pages to a live worksheet that way, you again have the ugly display.
--->
For presentation you might have to resort to some trickery, I fear. You may hide the original solve block in a collapsed region and paste an edited picture of the block without the labels below. Of course it would not be a live worksheet now anymore and for me this sure would not be worth the effort.
Thanks for the quick reply Werner - you are such a reliable source of support. That said, Dang, I was hoping I'd missed something. Ah well, another reason I don't show Prime worksheets to very many people.
Do we have any idea of what they're planning to fix in the next release?
Mark
Do we have any idea of what they're planning to fix in the next release?
No. Actually I am happy that I can still use MC15 and the more I see from Prime, the less I care about that version and its "development" and "improvements".
Usually @VladimirN is well informed and posts from time to time that kind of information. I have no idea if he already posted something about Prime 9+ but you may search for his posts in this forum.
EDIT: Just found this thread: https://community.ptc.com/t5/Mathcad/PTC-Mathcad-Prime-Roadmap-2021-update/m-p/738684
Its older than one year and so I am not sure which information still applies (apart from "don't expect too much" )
Hmm, I can't help noticing that plotting fixes don't appear in their roadmap. Once again, dang.
Mark
Plotting?
Starting with Prime 6 PTC gave us a slow and badly implemented third party tool (chart component) which provides us with high end and absolutely complicated and unique features like axis labeling, grid and a second y-axis. With such generous features, you have to overlook small weaknesses such as the fact that the module can't handle units - which, in PTC's opinion, is apparently not that important in a software like Mathcad. 😈
I would therefore not expect any significant improvements for the native plots.
Plots (native or otherwise) aren't on the list of updates coming to Mathcad Prime 9; we just had a whole session a week ago in the Mathcad Virtual Conference 2022 where the product manager said what's on the list (future-looking statements subject to change) and demo'd some functionality from an in-progress build of Prime 9, subject to release March 2023.
As for Mathcad Help, while I haven't confirmed this, my guess is that the documentation team crops out the guess values/constraints/solver markings on the side and then uploads the image. (I don't know why.)
You can see the croppings are inconsistent across these, so I think it's a manual process:

https://support.ptc.com/help/mathcad/r8.0/en/PTC_Mathcad_Help/images/variables_in_sb2.png

Hi DJ,
Thanks for the info. It's great the PTC is monitoring the conversation here. It can't always be fun or easy.
I guess I don't understand what's so untouchable about the plotting functions in Prime that PTC won't fix them. Maybe I'm the only one who finds them frustrating.
Mark
Maybe I'm the only one who finds them frustrating.
Sure not!
Improving the plotting experience is on our enhancements list; it'll require a significant development effort, however, and we want to make sure we get it right. Part of that is re-evaluating how we have both the quick native plots and the Chart Component.
Significant improvements to plotting won't be in Prime 9 and—don't take this as a fact but my personal educated guess—probably won't be in Prime 10; Prime 10's biggest development effort will be re-adding scripted controls. (You can see that we've formed a new Scripted Controls working group on PTC Community to make sure we hear from customers and get that right.)
Thanks for the info. I'll assume for now that PTC is not going to do anything with plotting for a while.
Mark
