Community Tip - If community subscription notifications are filling up your inbox you can set up a daily digest and get all your notifications in a single email. X
Hello,
I am trying to leverage Mathcad Prime's symbolic solve as an intermediary between FBD equations and a function to evaluate results. I am missing how to "push" the symbolic evaluation into a function as shown in the attached.
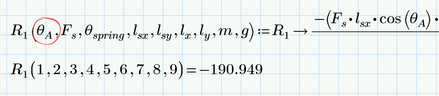
You simply missed theta.A in the argument list of the function
Is g really meant to be a variable? If its the constant of gravity, you should label it accordingly and omit it from the function argument list.
It can help in that case if you turn on the option to use constants and units in symbolic calculation (-> Calculation options).
But take care of your mass variable m. Chances are that it will be auto-labelled as unit meter.
