Community Tip - You can subscribe to a forum, label or individual post and receive email notifications when someone posts a new topic or reply. Learn more! X
Hallo guys,
i have a small problem. Actually i need to build an Iterative Calculation procedure.
I have just started the process to build it up. I got help from you guys already so i have a template.
Now i have a complicated equation which i cannot transform to the desired searched value.
So i use the mathcad "Vorgabe" Function in order to recalculate the value.
Now i dont know how to write it correctly into my Iterative procedure.
I think i only need to know the correct Syntax in order to be able to proceed my work
Thank you,
BR Stefan
Solved! Go to Solution.
Stefan,
Du kannst die 'Vorgabe...Suchen()' Struktur nicht in einem Programm benützen.
Du kannst aber das Resultat einer solchen Struktur als Funktion schreiben, und die Function in einem Programm gebrauchen. Aber warscheinlich kommst du hier besser weg wen du einfach die root() Funktion gebrauchst um den Dp1 Wert zu finden.
Dann noch, du sollst keine Definition, wie z.B. "Dp2<-", schwischen 'Vorgabe' und 'suchen()' stellen.
Und wass ist der Fehler mit Beziehung der '2' (das Quadrat)?
Viel Erfolg!
Luc
Hi,
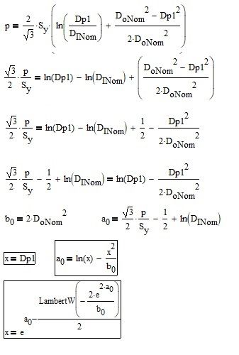
I don't think it necessary to use the Find operator because Dp2 is given by the "Lambert" function, see the image:
Hi,
I don't think it necessary to use the Find operator because Dp2 is a "Lambert" function, see the image:
In the first definition of ITER the parameters are 8, while in the next one the parameters are 9.
MFra,
thank you,
here its not working. Can you send me both mathcad files (the code in the second black circle and the yellow part lambert code. Thank you
br
Stefan
A simpler implementation of the LambertW function is:
It may be less powerfull than Stuarts implementation,
but it works for an argument range from slightly below 0 to 500 at least.
Success!
Luc
this fomula does not work with the LambertW Dp2 calculation? Can you help me another time plz?
I encounter another problem.
For this equation there are 2 solutions:
The Lambert Function looses 1 solution and with the lambert function i get the solution of 219,19898mm
But the correct one is 98,81192mm
Thank you for your help!
