Community Tip - Learn all about the Community Ranking System, a fun gamification element of the PTC Community. X
Hi
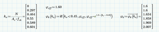
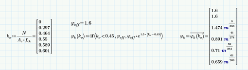
I have two identical scripts with identical input data. However, the output vectors differ. What is wrong with the second one??
Thanks in advance!
Solved! Go to Solution.
First:
You should attach the worksheet(s), instead of only pictures.
Then:
The 'scripts' are not identical, apart from the definition of phi.eff (1.6 versus 1.60):
The first one uses e, the base of the natural logarithm in the expression for phi.k.
The second one uses a variable e, the value of which probably has a unit of metres m.
Success!
Luc
Hi,
One comment.
Don't use a variable name the same as a function name,
Cheers
Terry
First:
You should attach the worksheet(s), instead of only pictures.
Then:
The 'scripts' are not identical, apart from the definition of phi.eff (1.6 versus 1.60):
The first one uses e, the base of the natural logarithm in the expression for phi.k.
The second one uses a variable e, the value of which probably has a unit of metres m.
Success!
Luc
Thank you so much! The e-base solved the problem 🙂
