Community Tip - If community subscription notifications are filling up your inbox you can set up a daily digest and get all your notifications in a single email. X
Hi,
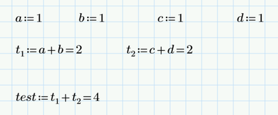
Then I overwritten values for t1 and t2 and test variable result was updated with the new values of t1 and t2:
Then I disabled t1 and t2, but the test variable remained unchanged. Why t1 and t2 did not took value 2 and update the test variable result with 4?
Solved! Go to Solution.
Why t1 and t2 did not took value 2 and update the test variable result with 4?
Because Prime is buggy!
I can confirm that I experience the same faulty behaviour (Prime 11, with auto calculation turned on).
Only after an explicit recalculation of the sheet (Ctrl-F5) the result updates correctly.
For the bug to show up its necessary to disable both variables at the same time!
As we can see the variables a and b actually are updated correctly, its the assignment of variable test which is not updated.
Feel free to report this bug to official PTC support. Good luck!
Beside Prime 11, I tested this situation also in Prime 9 and Prime 10.0.1 and the same behavior is happening also in these latter two versions...
Yes, it seems to be a rather old bug.
I traced it back to Prime 5.
In Prime 4, the behavior is still OK as it should be.
You can mention this if you decide to report the bug officially.
@Werner_E wrote:
Yes, it seems to be a rather old bug.
I traced it back to Prime 5.
In Prime 4, the behavior is still OK as it should be.
You can mention this if you decide to report the bug officially.
Ok, understood. I will try then to reach out some person inside my company and ask how to report this bug to PTC.
Thanks for confirming.
Below situation is working fine, by converting the test variable into test function.
So, is the situation described by me above (without converting the test variable into the test function) a bug, right? Because if yes, then I will try to talk inside my company to see how to report this bug to PTC or how to trigger or enter in contact with a PTC representative person to report this bug.
@Cornel wrote:
Below situation is working fine, by converting the test variable into test function.
As I already had written that's because the base variables themselves are correctly updated. So the correct new values are fed into the function and of course the result is correct, too.
Its the assignment to the variable 'test' which is erroneously not correctly updated after we disable both variables at the same time.
So, is the situation described by me above (without converting the test variable into the test function) a bug, right?
I already confirmed it and also provided a simpler test sheet to demonstrate the bug. Yes, IMHO it definitely is a bug and it already was introduced with Prime 5 and is not fixed up to Prime 11 (at least not up to 11.0.0.0 as I have not installed 11.0.1.0).
As far as I am aware there is no special way to report bugs to PTC, they seem not to be interested in bug reports.
All you can do is open a generic support ticket at official PTC support -> https://www.ptc.com/support/case-logger
Ok, I sent right now an email to a PTC Mathcad representative, and requested a meeting to show to them the bug and they to show me how to report this bug. And I will talk also inside my company to see how this bug can be reported through online bug report section, if the PTC Mathcad representative will not respond to me.
@Werner_E
I just received the email reply to my sent email from PTC Mathcad representative person, and I will have a call tomorrow to show her the bug and report it!
Me too, I do not have installed yet Prime 11.0.1.0, only 11.0.0.0 as for time being. But I will request to her to test this situation in Prime 11.0.1.0 too to confirm/infirm it also in this latest Prime 11.0.1.0.
Thanks!
Solved in Prime 11.01
Owe
@Werner_E
I had a call today with the PTC Mathcad Application Engineer representative person, and she checked in Prime 11.0.1.0 and confirmed that this bug has been fixed starting with this version.
