Solved
equation solve
- October 16, 2019
- 1 reply
- 1774 views
Hello,
I am using the solve command to solve for EC for a given matrix of sigma.s, It is unable to find a solution. Please suggest.
Thanks,
Faisal
You should have said in the other thread that you just want it to be solved using specific values and not symbolically.
With c=0.5 you end up with a cubic equation and the symbolic solve is able to provide all three solutions for each value of sigma.s
But the expression in parenthesis is a scalar and this can't equal a vector sigma.s
You may turn the symbolic calculation into a function of sigma.s and later call that function vectorized to get the 5 x 3 solutions. Note that the solutions with 10^-16 or so as imaginary part are supposed to be real values.

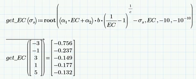
If you are just looking for one real solution, you may consider using the numeric "root" function (you may also use a solve block instead):

In case you are interested in the negative values for EC only, you may use a solve block with an appropriate constraint or the root function in its second flavor:

Worksheet in format Prime 6 attached.
Not, that if you use Prime 6 the symbolic solution will only work if you set the calculation to "Legacy symbolic" which activates muPad. The new FriCAS is not able to solve this cubic equation.
Enter your E-mail address. We'll send you an e-mail with instructions to reset your password.