Community Tip - If community subscription notifications are filling up your inbox you can set up a daily digest and get all your notifications in a single email. X
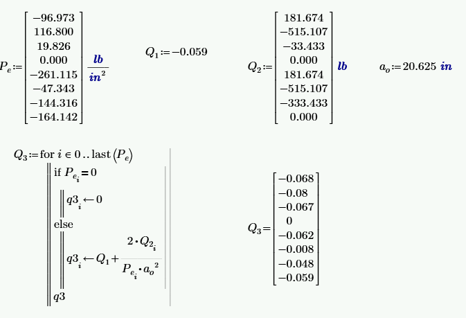
This expression is giving divide by zero error
Your if test is looking for all of Pe to be zero. Here's one way of overcoming this:
Alan
Whats the matter?
The very same question was already answered here:
