1-Visitor
September 8, 2022
Solved
matrix() function question asking
- September 8, 2022
- 2 replies
- 2773 views
Hi,
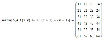
I am a little confused about the matrix (m,n,f).
I don't very understand what's the role of f in this function.
I try to use this function to do some tests, but I still don't understand why I will get these results.
I don't define the i, j but the Matcahd can do the calculation.
Can someone use an easy example to explain this function to me, it is hard for me to understand it.








