Community Tip - Did you get an answer that solved your problem? Please mark it as an Accepted Solution so others with the same problem can find the answer easily. X
Hello, I'm Mathcad newbie and I am unable to solve the attached problem in mathcad.
how to plot voltage vs df/dt and voltage vs f
Solved! Go to Solution.
Attached is how to do it; but I don't like the result. . .
This may be a start. (Note, a value for Vo is needed, I just put in 2).
This is your df/dVin. Note that it is discontinuous!
Then you find f by simple integration:
So now you have the function f(Vin...), You can put in any value, or function, for Vin.
Success!
Luc
That's great!
Plot f(t) vs t ??
Hi,
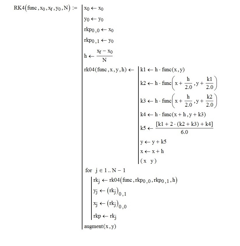
I've used the fourth order Runge-Kutta method, the result is below depicted:
You could define the function that way
But it would be the same as
Hi, nhkadar,
I can give you an image:
The for loop begins from j=1 not 0:
I should think that Fred solved it here: https://community.ptc.com/t5/PTC-Mathcad-Questions/solution-for-the-attached-paper-to-get-figure-2-results-in/m-p/548325#M180502
Luc
 
					
				
				
			
		
