program - finding the roots of the quadratic equation in subset of real numbers
Hi all,
i want to write a program in MathCad 15, that can find a roots of the quadratic equation in subset of real numbers. Result will be a vector, or text: "this equation dont have result in real numbers"
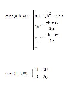
I already have a program, that can find a roots:

but i dont know how to continue..
i think, that if b^2-4*a*c <0 than this equation dont have results in real numbers. but how can i write this in program?
Thanks a lot!


