Community Tip - Have a PTC product question you need answered fast? Chances are someone has asked it before. Learn about the community search. X
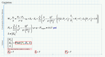
Even though I have declared two values for all variables that are iterative Mathcad Prime 8 is still pushing this error "Ranges with units must specify the second value in the range",
please advise and thank you!
Solved! Go to Solution.
Hi,
Need to define N and make variable W[p not W[s which is defined as a vector earlier in the sheet then it works
Don't forget to alter guess variable name to W[p
Cheers
Terry
Hi,
Need to define N and make variable W[p not W[s which is defined as a vector earlier in the sheet then it works
Don't forget to alter guess variable name to W[p
Cheers
Terry
