Community Tip - Did you get called away in the middle of writing a post? Don't worry you can find your unfinished post later in the Drafts section of your profile page. X
Has anyone got an example of successfully getting sbval to work?
I keep getting :
I am playing with a 5th-order non-linear system.
Many thanks in advance!
Solved! Go to Solution.
I also have been looking for such an example, and SB_10264300 has provided excellent references.
BVP.pdf is the first reference, and BVD_15.xmcd is implementation of it in MathCad 15. BVD_Prime6 is file converted into Prime 6.
Thanks for the rapid reply - I had already stumbled on the ww.mathcadhelp page (via Google) and this helped provide confidence that I had not completely messed up decoding the sbval documentation. The mtu.edu reference is very good - it would be great if it could be scooped into Prime documentation to speed things up for future users. I am now happily solving 6th-order highly coupled non-linear differential equations with discontinuous changes in time-dependent coefficients and trying to break things.
Thanks again for the rapid response.
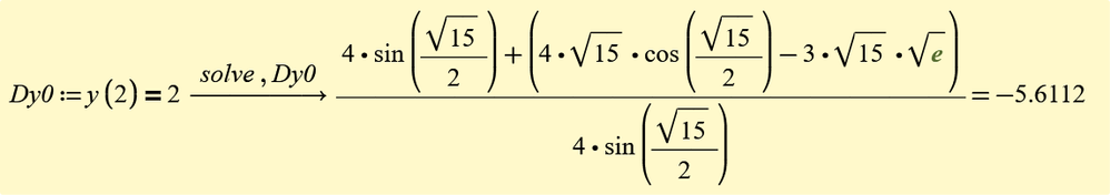
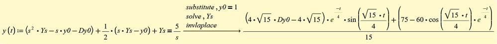
Thanks ttokoro, this is a nice compact way of solving linear de in Laplace form. Would it work if you had one initial condition - like y(0)=1 and the other boundary condition say y(1)=2 ?
Yes, but it takes one more (set of) equation(s) to solve.
See attachment.
Success!
Luc
Hi LucMeekes,
Fantastic! - I was unaware of this particular move:
- where constraints can be compiled into a vector then solve invoked!
Many Thanks
GeoffD
You can solve ant y(t) value.
Hi ttokoro,
Very neat!
Many Thanks
GeoffD
I also have been looking for such an example, and SB_10264300 has provided excellent references.
BVP.pdf is the first reference, and BVD_15.xmcd is implementation of it in MathCad 15. BVD_Prime6 is file converted into Prime 6.
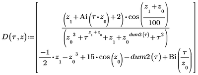
Hi, Many thanks for the references - they helped steer me in the right direction. I tried to break sbval using a really tricky D matrix (no idea what it represents) using:
Remarkably, sbval found the initial conditions to satisfy boundary conditions - see attached terse worksheet. By playing with additional changes I could switch between - "cannot converge" and my original error message - but it was not clear what was causing the switch. But everyone's help showed me that I was at least using sbval correctly and that the problem resided in my D matrix somewhere. I finally got sbval working by non-dimensionalizing the differential equations - which may have cleared up an incipient fault with units that I could not see.
Many thanks for the rapid response from everyone!
I use the Odesolve function and the shot method.
Hi ValeryOchko,
I am finding sbval to be working ok now - but before getting there I was able to use solve block constraints to shape the initial conditions of Adams and Rkadapt - but the response was a bit patchy - sometimes it converged and sometimes not, sometimes Find worked and sometimes minimize did. However, when my boundary conditions involve multiple systems states the solve block route seems a reasonable path - however, I have not explored Radau(init, x1, x2, intvls, D, [J], [M], [tol]) where it seems the M matrix can be used to embed functions of states.
Many thanks
GeoffD
