Community Tip - Visit the PTCooler (the community lounge) to get to know your fellow community members and check out some of Dale's Friday Humor posts! X
Hi guys, can anyone help explain why this doesn't work?
I tried whatever I could to find out what is the problem with no success.
Thanks.
Solved! Go to Solution.
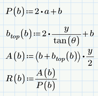
Instead of substituting and working with a huge expression I would rather prefer to turn all expressions depending on the variable b into functions of b.
You can then use the "root" function by providing a range (values to the left and to the right of the root)
Or you can use the "root" function by providing a guess value
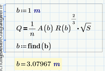
And of course you also could use a solve block with "find"
Prime 10 sheet attached
Why don't you attach your worksheet?
Delete the equal sign at the end of the definition of P.
But I don't think that Primes symbolics will be able to solve your equation. Furthermore it seems to me that your equations is in no way unit consistent!
You definition of P adds 2a ( a length) to b, so b must be a length, too, as will be P.
A is an area and so R is again a simple length.
So in your expression X, the left hand side (W) is defined as being an acceleration (m/s^2), but the right hand side would end up with units m^3 / s. So there seems to be something wrong with the units or with the expressions!
If you can fix the unit problem, it may be more appropriate to formulate your assignment as functions of b and then use a numeric method like the "root" function to get your numeric result for b.,
Thank you, Werner, for your reply.
I attached the two methods I tried. units are correct. if you assign b = 2m for example, you get a correct unit at the end.
Appreciate if anyone could help.
Substitute your variables A, P, R and b.top, and then use the root function:
Success!
Luc
Instead of substituting and working with a huge expression I would rather prefer to turn all expressions depending on the variable b into functions of b.
You can then use the "root" function by providing a range (values to the left and to the right of the root)
Or you can use the "root" function by providing a guess value
And of course you also could use a solve block with "find"
Prime 10 sheet attached
Additional remark:
I wouldn't recommend doing so, but you can certainly use a Solve block in a similar way to the one you had set up. However, you would have to use the Boolean equals signs throughout and search not only for b but for all five unknowns at the end (and also provide guesses at the top):
