14-Alexandrite
April 22, 2024
Solved
units are not compatible
- April 22, 2024
- 1 reply
- 1220 views

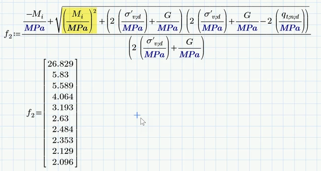
I truely don't know why this error keeps happening?!
You square M.i, so you have to square the unit, you divide by, as well:

Enter your E-mail address. We'll send you an e-mail with instructions to reset your password.