Community Tip - Visit the PTCooler (the community lounge) to get to know your fellow community members and check out some of Dale's Friday Humor posts! X
I have successfully used a specifically sized flat Equation curve in my die designs. I have on a number of occasions however needed to use the same radius and spacing around a rotation which to this point have been very fudgy.
Below is the equation that I have been using.
This results in a curve like the following.
Would it be possible to make an equation curve to the below shape?
The spacing would be the same as with the top example but I would somehow need to be able to define a center or slope. Can this be done?
Solved! Go to Solution.
If you are looking to follow a true radius, I agree with @KenFarley that a cylindrical equation may work well:
You may also want to consider using construction geometry to get the desired path: Create a curve for the sine wave to follow. Create a surface sweep using relations to create the sine wave around the curve. Use/copy edge of surface.
Are you looking for something like this:
Kdirth: This is a very nice arithmetic style curve but unfortunately not what I'm trying to achieve.
What I am looking for is a curve that doesn't have any 3 dimensional depth. The rotation that I am looking for above would be similar to taking a cross sectional slice of a Recess Peanut Butter Cup. (The rotation I have been looking for would be on the same 2D axis.)
If you are looking to follow a true radius, I agree with @KenFarley that a cylindrical equation may work well:
You may also want to consider using construction geometry to get the desired path: Create a curve for the sine wave to follow. Create a surface sweep using relations to create the sine wave around the curve. Use/copy edge of surface.
Construction Example:
This actually might be an easier approach?
I played around with your Equation curve solution besides being able to get the needed shape I can specify the plus and minus of the curve value. I can see that I could modify the radii value to what was needed and it also could carry a specified amount of curve waves.
The thing that is confusing however would be how I could maintain a curve pitch distance between each wave. In the Cartesian related Equation curve this value is controlled by the values in bold in the equation. (In my case I am maintaining a value of .5625 between each wave.)
x = .015 * sin ( t * 360 *12)
y = t * 6.75
I don't know whether making this a relation (instead of cylindrical equation curve) would allow me to control this value but otherwise there is a lot of measurement. Don't get me wrong it is wonderful to be able to just control this through a repeating wave curve but I would like to be able to control the curve pitch value.
Using an equation curve, you would have to start with creating relations to specify the arc angle based on radius, pitch and quantity, then use those in the equation curve.
If using construction method, when sketching the curve, you can use Perimeter dimension to control the length to a specified multiple of .5625.
Or you could measure the length of the curve and divide the result by .5625 to get the number of waves.
Kdirth: Would it be possible to share a file of the construction example that you show above?
I might have trouble loading the file if it is after Creo version 7 but I at least would like to ask.
I am trying to step by step replicate this example but it appears that your sweep feature feeds the relation and I can't follow how the sweep was created.
Thank you!
Paul
The key is to select "Allows section to change" and Create a relation in the sketch based on the value trajpar.
You are looking to superimpose a periodic function (sine/cosine) on a circle? Something that would look like this?
Tbraxton:
Yes; in the same orientation of what you show. The challenge would be in keeping the inside radii the same as the outside radii and also maintaining a uniform spacing.
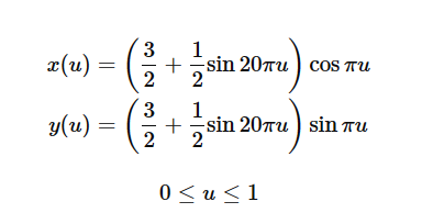
This is possible to do in Creo using curve from equation functionality. The parametric equation (cartesian coordinates) of the picture I posted above is:
Have you looked into using cylindrical equations (r, theta, z) instead of cartesian? It might make the mathematics more straightforward.
This gives you direct control of parameters in a single feature. Getting the syntax of the equations is the only tricky part to this. Amplitude, frequency and radial offset of the zero-amplitude circle are defined in the equations shown here in Creo syntax. You should be able to cut/paste this into your curve from equation feature definition. Make sure to set the domain of t from 0 to 360 (degrees) to cover a complete circle. 0-180 for half circle.
x=(1.5+0.5*sin(20*t))*cos(t)
y=(1.5+0.5*sin(20*t))*sin(t)
z=0
Curve from equation in cartesian system:
Y'all are rattling off formula's and all I can think about is how much I like reese's peanut butter cups! Nothing else matters!
Yes; that must explain why I just had some. The power of suggestion.
I can't say it has made me understand this any better but at least I'm happy.
They are calling for me from the breakroom.
Finally, one that has zero calories.....
mmmmm....chocalate....peanut butter....Creo....
