Community Tip - Visit the PTCooler (the community lounge) to get to know your fellow community members and check out some of Dale's Friday Humor posts! X
I would like to use all Mathcad tools for the solution this problem:
The author of the last solution will get the gift from me!
1.
2.
3.
4.
5.
6.
7.
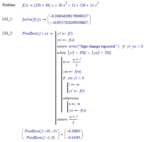
My bisection
Newton
Secant Method
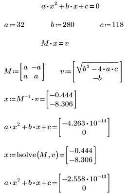
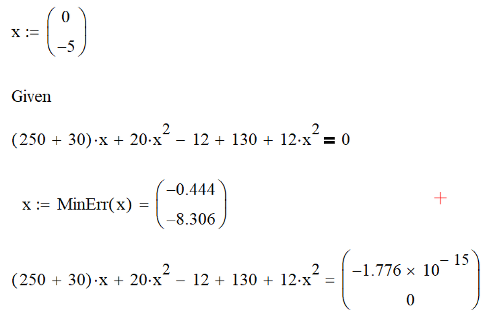
We have used Find, root, MinErr, polyroots, Minimize and Maximize functions!
We can use the lsolve function too! Why not! With Werner help!
