Community Tip - Did you get called away in the middle of writing a post? Don't worry you can find your unfinished post later in the Drafts section of your profile page. X
I've been trying to figure out how to use mathcad since I didn't have any lectures about it in my university and I'm asigned a task that says to solve the equations by using mathcad. Could anyone help me out?
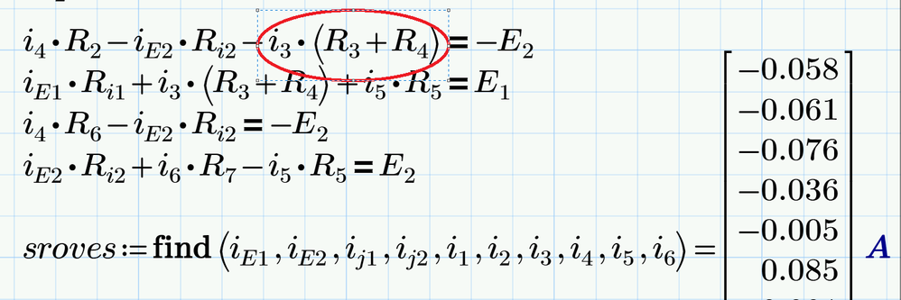
I've pasted 2 photos of variables that we know and equations from which we need to find I1,I2..etc
Solved! Go to Solution.
With this example, you should be able to enter your stuff.
Don't hesitate to come back (reply in this thread) if you run into trouble with the use of Mathcad. In that case, attach your Mathcad worksheet file, not just a picture!.
You may have to zip the Mathcad sheet first. A serious bug in this forum often prevents from attaching a mathcad file. In Windows Explorer click with the right-mouse button on the mathcad file and select 'Send to' -> 'Compressed (zipped) folder'. The resulting .zip file can be attached.
Success!
Luc
As Luc says, please post a worksheet. It's very hard to debug a picture.
Having said that, see those squiggly red lines under some of your units? That means they are undefined. For mA and kOhm (sorry, this sucky forum software will not show capital Omega for W in symbol font) that should not be the case. On the other hand, mS is undefined. If you want milliSiemens you will have to define mS:=S/1000.
Hi,
You have ten unknowns and ten equations.
You can use a solve block for numeric answers.
Please post you worksheet and I can show you,
What is the factor K used in setting up the known values?
Cheers
See two picture from the book
Thermal (and Electrical) Engineering Studies with Excel, Mathcad and Internet
I've asked what I did wrong here, and the only thing was that I didn't describe unkonwn variables in my case. And yes, the pictures are from a word file.
But now that I have an example and tried almost copy paste it to fit to my project I get an error with a command Find. The error is "This value has to be a function". I have no idea what to do again... Any tips?
I'm attaching my worksheet
Ohhh... I'm sooo blind. Thank you very much!!!
I am glad to help you!
But I must say - better use the lsolve not find function for this problem.
See please 2 my pictures above!
