Community Tip - If community subscription notifications are filling up your inbox you can set up a daily digest and get all your notifications in a single email. X
I would like to solve one ODEs boundary problem (find v) with using user functions based on the Odesolve function.
But
1. Cannot use root or Find functions
2. Very slowly calculation
3. I must restart my Prime 6
etc
Help please!
PS
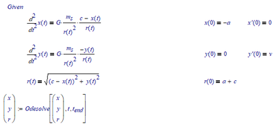
I cannot write this problem in Polar coordinates! See attach.
One error:
By inspection r(0 s) = a
No,
at t=0, the comet is at (-a,0), its distance to the sun (r) then is a+c.
Luc
You're right, as usual!
I need to read more carefully.
How about (Mathcad 11, cannot use units):
Calculate the speed from the x and y speeds:
Success!
Luc
Thanks, Luc!
No problem with X-Y-coordinats
Problems with Polar - see please pdf in attach (and Prime 6)
