Mathcad 15 Getting Vectors From For Loops
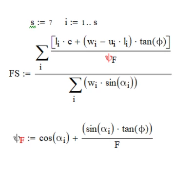
So I have a hw problem that doesn't need to be solved this way but I have a feeling I will be using the Modified bishops method on a future project so I wanna take my time on this. Basically, I have two equations :

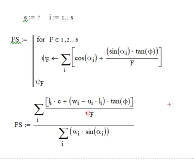
This is a function to find the Factor of Safety for a slope under certain conditions. In the actual psi equation, the F is The same FS in the upper eq. This requires an iterative process where you guess a F run it through psi and then the FS function. You then compare F to the resulting FS to see how close they are. You continue guessing F until F and FS converge to a similar number. The summations with the variable I represent the 7 different vertical slices that are being summed to form the whole slope. I want to write a program where I can input F as a sequence like 1,2 .. n. It then should pick the first F and run it through psi summing over the 7 slices. This should output one character into the psi resultant vector. Overall once it has run through all F, I want the resultant psi to be an nx1 vector with each psi value pertaining to each F. Then I want it to run the FS equation, similar to the psi I want this to sum over the seven slices for each psi input. At the end, I should have a resulting FS vector with one FS value for each F value input. Here is what I have so far:

I am an absolute beginner with coding so any help would be greatly appreciated!

