Community Tip - When posting, your subject should be specific and summarize your question. Here are some additional tips on asking a great question. X
The bug is present in Prime 10 and Prime 9 (can't test with P8 and P7).
Its not present in Prime 6 using the new engine!
Prime 10 & 9:
Prime 6 with new engine (FriCAS/Axiom)
I hate to say it, but the very same example also fails (in a different way) in Mathcad 15 with muPad as engine, too 😞
Prime 6 sheet attached
Mathcad 11/Maple
Success!
Luc
I am sorry to see that Maple in MC11 is coming up with an incorrect result as well when the absolute value is used.
Reason seems to be that, while the symbolic evaluation of the indefinite integral is correct in all versions, all versions (including Prime 6, which so far is the only version which returns a correct result for the definite integral) return a function which is only piecewise continuous.
Therefore this integral function must not be used to calculated the definite integral the 'usual', simple way (which is was all versions except Prime 6 seem to do),
but instead has to consider the jumps at the discontinuities.
To get the correct result we could use
EDIT: SORRY!! The above was awfully wrong! The zero of f(x) is NOT at pi/9 but rather arcsin(1/3) of course!
F(x) is not defined at this position (division by zero, actually a form of 0/0) so we have to use the limes
Somehow Prime 6 is the only version where the symbolic version is able to return a correct result, even though its ugly looking
And of course once we know where the problem seems to be we an also split the integral accordingly o get the correct symbolic result
We get the same results in Prime if we rewrite the function using the square root of the square.
Reason seems to be that an internal simplification ends up at the absolute value again
Out of idle curiosity, why did you choose that particular integral to evaluate? Have you a worksheet with multiple calculus equations that you test?
I tried it on Wolfram Mathematica and that gave the correct result.
Stiuart
I've shuffled things around on my small workspace and I've freed up just room to use my Apple Magic Mouse with my Dell laptop. Works well, if not perfectly, and makes life so much easier than using the trackpad. Annoyingly, the tiny mouse I bought specifically for the Dell won't connect ...
@StuartBruff wrote:
Out of idle curiosity, why did you choose that particular integral to evaluate? Have you a worksheet with multiple calculus equations that you test?
I tried it on Wolfram Mathematica and that gave the correct result.
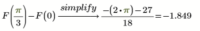
I was just about trying to generate an example showing that numeric integration often is way off the exact result because of inaccuracies adding adding up and then wanted to show the effect of TOL setting. As an exact reference I would use a symbolic evaluation - at least thats what I thought 😉
However, the result of this integral was too far away from the numerical one and I didn't really believe that the definite integral from 0 to pi/3 could be negative for this function 😉
Not surprised that Wolfram can do it
I just still can't get my head around the misnomers that Wolfram uses
sin^-1 instead of arcsin and sec^-1(3) instead of arccos(1/3).
But Wolfram deliberately does not adhere to existing standards because he wants to set his own standards 😞
OK, thanks.
The sin-1 and sec-1/3 were the standard when I learned mathematics in the UK, and young Mr Wolfram learned maths in the UK.
At the time, I thought the Russian(*) use of arcsin and arcsec was archaic, although I preferred that notation.
Stuart
(*) At university, some of the physics papers I was interested in were in Russian. So I sat down with a dictionary and sort-of-crudely translated the bits that seemed relevant from the formulae.
Typical. We have a nice storm raging outside and I wanted to measure the wind speed. I have one of those handheld anemometers, and I saw it a week or so ago. But can I find it, even though I ransacked the house (I've got Viking ancestry, apparently)?? No, of course not. Good day to take a longboat for a sail.
Well, I grew up with arcsin and arcos and sec and csc are not commonly used here. I also learned tg for tan and also that 0 is not a natural number.
But the ISO 80000-2 clearly says that zero is a natural number, tan should be used and definitely not sin^-1, because the inverse of sin has its own distinct name. The usage of sin^-1 instead of arcsin would mean that you could not use the convenient sin^2 x for (sin x)^2. After all, nobody would read e^-1 x as being ln x as well (at least I hope so).
While standards are not law, I nonetheless think its not a bad idea to adhere to existing standards.
BTW, young Mr. Wolfram possibly not learned in school that sin(x) should be written Sin[x] (as in Mathematica) 🙂
@Werner_E wrote:
Well, I grew up with arcsin and arcos and sec and csc are not commonly used here. I also learned tg for tan and also that 0 is not a natural number.
At least one of the Russian calculators I've got uses tg. I can't remember what we were taught about zero. I think I got the idea fairly quickly when I first learned about numbers when I was an infant. However, I do know there are the occasional mathematical bun fights over whether zero is a natural number or not.
@Werner_E wrote:
But the ISO 80000-2 clearly says that ... definitely not sin^-1, because the inverse of sin has its own distinct name.
Where does it say that sin-1 is not allowed? The ISO 80000-2 has several tables that show multiple allowed notation for an item, eg i & j for complex numbers and d2/dx2 & g''[(x) for differentiation, and the notes make specific mention of what should not be used (eg, tg for tangent).
I often use the (Mathcad-permitted) "÷" division symbol even though the ISO says it should not be used. I interpet "should" as "please don't, but if you must and can justify its use, I suppose I'll have to put up with it". The ÷ symbol makes lines much more compact as the "/" symbol gets interpreted differently by Mathcad ...which is annoying. Besides, it's what I was taught to use in primary school. 😈
@Werner_E wrote:
The usage of sin^-1 instead of arcsin would mean that you could not use the convenient sin^2 x for (sin x)^2. After all, nobody would read e^-1 x as being ln x as well (at least I hope so).
The idea of thing-1 was and is seen by some parties as just meaning the inverse of some thing, but is a concept that got suborned to other purposes when its utility became apparent. For a counter example, consider
The exponent use of powers works until it doesn't and that's why I keep in mind that the notation is a shorthand for an inverse operation that is useful is used wisely.
@Werner_E wrote:
While standards are not law, I nonetheless think its not a bad idea to adhere to existing standards.
I agree. But rules were meant to be broken when they get in the way of solving a problem. I spent many a happy hour subverting rules to my benefit, twisting them out of shape, or just plain ignoring them. I'm amazed at some of the things I got away with. 😱
@Werner_E wrote:
BTW, young Mr. Wolfram possibly not learned in school that sin(x) should be written Sin[x] (as in Mathematica) 🙂
Ah, and there we delve in the differences between the mathematical world and that of the more real world universe of programming, especially when you're faced with a QWERTY (or alternative) keyboard. Plus, when a human is reading something and mentally translating the symbols to pass to the brain's Comprehension Net, the human is usually context-aware and understands that sin and Sin are the same thing. Programming language compilers, on the other hand, have to told explicitly how to deal with the text and other symbols that they encounter; what they mean is irrelevant to the computer and context has a rather different interpretation. The use of lower and upper case is to remove some of the ambiguity that can exist when maths notation his the virtual world of the computer.
Another thing to bear in mind is that much of the notation we use has changed and developed throughout mathematical history, and isn't necessarily as meaningful or indicative of purpose as it could be. Mathematical history is another of those rabbit holes that I occasionally get sucked into ... especially as I have a bad memory and rapidly forget the information I learned a few moments before but have a strong sense of curiosity!
Stuart
My main point was that if standards are specified, it's a good idea to stick to them.
But of course, standards are ultimately not a law, but a suggestion and can be ignored (at least in mathematics without penalty).
Although the standard was changed about 50 years ago so that 0 is counted as a natural number, it still seems strange and wrong to me. Nevertheless, I think it is right to stick to it or at least to explain in advance in a publication that the term N is used differently from the standard and that zero is not included. Unfortunately, this is not always common practice, especially in academia, and it is often a guessing game as to whether the author means zero included or not.
I have also found tg more suitable than tan, but I still use tan as long as the standard suggests it - it doesn't really hurt.
Regarding ^-1 for the inverse, I seem to have made a mistake, because this term is apparently not mentioned in the standards at all. Neither as “should not be used” for special functions such as sin^-1 nor as the usual term for the inverse of general functions f.
I seem to have gotten my hands on an explanation or supplement to the standards (I can't find it anymore, of course), in which it was very plausibly described that the notation ^-1 may/should not be used for functions whose inverse has its own name, but that the convenient abbreviated power notation may be used for the function itself, i.e. sin^3(x) instead of (sin(x))^3 or even the correct sin (x)^3, which should be avoided due to the risk of confusion.
I found and find this handling quite reasonable and therefore see sin^-1 x as 1/(sin x) and not as arcsin x. Therefore, the use of sin^-1 for the inverse of the sine function seems 'wrong' to me, even if that's what the calculator says. For some, however, the pocket calculator is the (pseudo) standard - “if Texas Instruments, Casio & Co. label it like this, then it's valid” 🙂
P.S.: I'm not sure what your counter example should demonstrate. Of course Prime's answer that the integral of x^n would be x^(n+1)/(n+1) is at least incomplete as it should mention the exception for n=-1. I see no connection to the controversy "is it 1/..." or rather the inverse.
@Werner_E wrote:
My main point was that if standards are specified, it's a good idea to stick to them.
But of course, standards are ultimately not a law, but a suggestion and can be ignored (at least in mathematics without penalty).
I agree, to a point. Some organizations specify that the standards shall be used and they are often specified in contracts. In many cases, it could be possible to argue for alternatives if there is a good enough case, but customers can get snarky and insist on theirs because it causes them a lot of internal headaches having to deal with various notations and quantities (Anybody want to help send a probe to Mars? We're thinking of calling it Mars Climate Orbiter).
@Werner_E wrote:
Although the standard was changed about 50 years ago so that 0 is counted as a natural number, it still seems strange and wrong to me. Nevertheless, I think it is right to stick to it or at least to explain in advance in a publication that the term N is used differently from the standard and that zero is not included. Unfortunately, this is not always common practice, especially in academia, and it is often a guessing game as to whether the author means zero included or not.
I have also found tg more suitable than tan, but I still use tan as long as the standard suggests it - it doesn't really hurt.
There's a lot of legacy stuff hanging around even in relatively recent education. TBH, I doubt whether many people are aware of the ISO standards and the cost is prohibitive to the private user. I know many educational establishments can obtain them through various licencing deals ... which is where I got my copies of the latest versions ... but there's a shed load of other stuff students and staff have got on their minds, and I don't think I've ever heard the ISO mentioned in any of the maths or physics courses I've taken. I only discovered them because i thought there ought to be a standard notation for something or other and looked on line. I discovered the ISO and lots of other jolly good stuff, but not what I was specifically looking for. More recently, I wondered if there was a standard symbol for an alphabet; AFAICT, there isn't and I've encountered several symbols in recent use, including A, S, and S.
@Werner_E wrote:
Regarding ^-1 for the inverse, I seem to have made a mistake, because this term is apparently not mentioned in the standards at all. Neither as “should not be used” for special functions such as sin^-1 nor as the usual term for the inverse of general functions f.
I seem to have gotten my hands on an explanation or supplement to the standards (I can't find it anymore, of course), in which it was very plausibly described that the notation ^-1 may/should not be used for functions whose inverse has its own name, but that the convenient abbreviated power notation may be used for the function itself, i.e. sin^3(x) instead of (sin(x))^3 or even the correct sin (x)^3, which should be avoided due to the risk of confusion.
You may well have read it somewhere, or perhaps it's wrapped up in some "if we don't mention it, don't do it" clause.
There are many things in maths and physics that can cause notational confusion, and not just those disciplines. And like many things, context and familiarity play a big part in understanding. In the military, the surest way to bring a meeting to a halt was to ask what a particular TLA (three-letter acronym) was. Everyone *knew* what it meant and yet few people could remember exactly what it was. Endless fun as the debate swirled around the meeting room until the chair finally managed to bring it to a halt. This was particularly entertaining when you could introduce the same acronym but with different meanings. Somebody even suggested that every TLA should have a fourth letter added to let people know which TLA you meant.
@Werner_E wrote:
I found and find this handling quite reasonable and therefore see sin^-1 x as 1/(sin x) and not as arcsin x. Therefore, the use of sin^-1 for the inverse of the sine function seems 'wrong' to me, even if that's what the calculator says. For some, however, the pocket calculator is the (pseudo) standard - “if Texas Instruments, Casio & Co. label it like this, then it's valid” 🙂
Ah, yes, quite right. How could one argue against it? Then it's just a matter of whether to go with the JISC(Casio) 80000-2 or the ANSI(TI) 80000-2 (what do those ISO people know, anyway? Have they ever produced a decent calculator?). What kind of reasoning is that? A form of argumentum ad populum, perhaps? We obviously need a good Latin phrase to describe the concept... something like signa definita per rationem appellationis bullarum communis calculatoris?
Whilst we're on a roll, let's campaign to change p's value to 3 ... much easier to remember and that way we can overload the 3-button instead of the 7-button (p = shift-7 on my Casio fx-991 CW). The big question is should the Shift button be gold (fx-991 CW) or blue (fx-85 CW)? 😈
@Werner_E wrote:
P.S.: I'm not sure what your counter example should demonstrate. Of course Prime's answer that the integral of x^n would be x^(n+1)/(n+1) is at least incomplete as it should mention the exception for n=-1. I see no connection to the controversy "is it 1/..." or rather the inverse.
I'm not so much talking about Prime's particular answer in a case where somebody had programmed their interpretation of how to deal with integrating xn, but the fact that there must be an exception programmed specifically because the pattern of integrating exponents fails in the case of x-1 and a different function comes into play.
Stuart
pi = 3 ??
Wasn't it pi = 3.2
https://en.wikipedia.org/wiki/Indiana_pi_bill
Indiana's State Legislature Once Tried To Legislate The Value of Pi
or rather pi = 4 ?
Does pi = 4? (A Good Explanation) - YouTube
But then, pi is evil anyway
Pi is Evil - Numberphile - YouTube
😈
@Werner_E wrote:
pi = 3 ??
Wasn't it pi = 3.2
https://en.wikipedia.org/wiki/Indiana_pi_bill
Indiana's State Legislature Once Tried To Legislate The Value of Pi
or rather pi = 4 ?
Does pi = 4? (A Good Explanation) - YouTube
But then, pi is evil anyway
Pi is Evil - Numberphile - YouTube
😈
The top one is exactly what I was thinking of. I mean p is all Greek to me, anyway.
Although, it used be Phoenician, of course - 𐤐. 😉
Stuart
SMath Studio with Maxima engine used outputs these result of this integral:
Thanks for trying.
Its disappointing that SMath returns a wrong result, too.
Both Maple version 6 and Maxima engines are not able to calculate this integral symbollicaly in SMath Studio:
@Werner_E EDIT: in my previous post it was a mistake made by me.
SMath Studio is able to make the correct calculation (SMath engine):
SMath Studio is able to make the correct calculation (SMath engine):
Then I'm relieved. 😉
But shouldn't Int be an integral anyway?
BTW, the "symbolic" solution sure isn't the exact solution (which is what I would expect from 'symbolic') but rather a rational approximation of an irrational result.
I can show to You simbolic solution as well (not a rațional approximation of an irațional result as above), but only tomorrow i can post, as I do not have access to my computer right now.
I tried downloading SMath Studio (or SMath Solver as the app calls itself on my PC). That went OK. The bare metal SMath seems restricted compared to how I recall it operating several years ago, with a greater dependency on plug-ins. I tried to install the Maple Tools plug-in, but SMath crashed twice, so I abandoned the attempt.
Stuart
Yes, so it seems to me that SMath has stability problems. By now SMath can give you the answer/correct answer, and after few moments later it can give you incorect answer or SMath to not work properly. Strange things happen with SMath from what I see so far regarding the stability of functionalities.
@Cornel wrote:
@Werner_E this is the symbolic result from SMath using maple:
Yes, that's what I really would call a symbolic result. We have seen this very same result already sometimes in slight variations here in this thread.
BTW, the expression I posted in this answer
Re: Bug report, symbolic engine in Prime 10, 9 ret...
was wrong. Its corrected now.
Pah! You're all wrong, anyway, with your tricksy Derives and Axioms and Maples and Wolframs. 👿
I likes it nice and wriggling with a touch of Hewlett-Packard. Vote for HP! Vote for the 49g+ Party. We promise .339496278316 and not a digit less(*). Erable forever!
Xcas is a splitter. We'll have none of its siding with Wolfram nonsense. If .339496278316 were good enough for its Dad, it's good enough for Xcas. 1/18*(-2*pi-9)-1/3*(-2*sqrt(2)-asin(1/3))+1/3*(2*sqrt(2)+asin(1/3))-1 = 0.263110172401, indeed! (#)
Many moons ago, when titanosaurs were small bipedal archosaurs and Mathsoft was looking to ditch Maple, I did suggest it might be worth tying in with HP and using Xcas. That might have been something - the ability to use Mathcad in conjunction with an HP Prime calculator (even the name is suggestive) and swap expressions between the two.
Stuart
(*) Well, the result looks like it evaluated the correct expression ...
(#) Why, oh why, oh why, can't we can't we have the ability to paste MathML or Tec expressions directly into the Community? Even sub- and superscript buttons would be nice. 1/18·(-2p-9)-⅓·(-2√2-asin(⅓))+⅓(2√2+asin(⅓))-1 = 0.263110172401 is the nearest I could get in HTML; perhaps somebody better versed could improve upon it.
@StuartBruff wrote:
(#) Why, oh why, oh why, can't we can't we have the ability to paste MathML or Tec expressions directly into the Community? Even sub- and superscript buttons would be nice. 1/18·(-2p-9)-⅓·(-2√2-asin(⅓))+⅓(2√2+asin(⅓))-1 = 0.263110172401 is the nearest I could get in HTML; perhaps somebody better versed could improve upon it.
Minor improvement, using the ⅟ character and some font size jiggery-pokery.
⅟18·(-2p-9)-⅓·(-2√2-asin(⅓))+⅓(2√2+asin(⅓))-1
Can't believe that Khoros would not provide a plugin which would allow us to edit an display formulas with MathML.
Most Math forums which often use 'smaller' forum software would provide a decent way to display math either via an Math-Editor creating MathML output or by providing a TeX plugin.
Especially on a site that is sort of, vaguely, maybe slightly mathy on the odd rare, barely significant occasion.
Ditto subscript and superscript buttons for those even more few and far between semi-mentions of indexed arrays or subscripted names.
Stuart
No superscript or subscript buttons, but we do have HTML powers to do that.
But you inspired me to suggest it on the Community Feedback board: https://community.ptc.com/t5/PTC-Community-Feedback/Request-for-Subscript-Superscript-Text-Formatting-Buttons/m-p/978091
(I feel like it should be relatively easy to do; a much easier lift than MathML.)
Thanks, Dave.
I am one of those who do use the skills conferred upon me by the Power of Grayskull HTML. Which is partly why I mentioned it, because the power's a pain to use.
I am surprised that Khorus doesn't appear to have a readily available and installable bolt-on to input maths expressions.
Stuart
The expanded toolbar now has subscript and superscript buttons.
@DJNewman wrote:
The expanded toolbar now has subscript and superscript buttons.
Brilliant! Even the subscripts can have superscripts and vice versa. 😊
I guess it's too much to ask for superscripted superscripts and subscripted subscripts? 😉
Stuart
