Create a matrix with Partial derivative with more variables
PTC Mathcad Prime 8.0.0.0
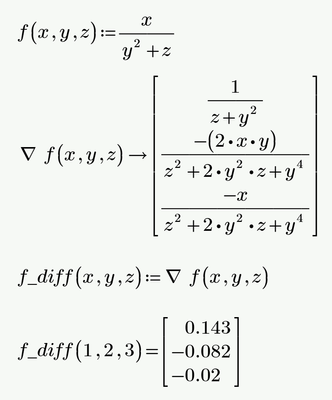
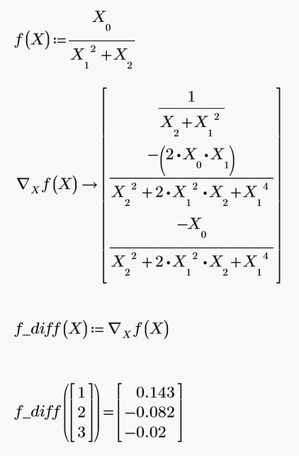
I have a function that depends on several variables, and I want to compute the partial derivative with respect to each variable and store the results in a matrix.
For example, the variables R1​,R2​,R3​,R4​,R5​,R6​,R7​, and R8​ are known.
F(R1, R2, R3, R4, R5, R6, R7, R8)=R5*R4/(R3+R4) +(R7-R8/2)*R1+R6/R2
I would like to create a matrix A_dif such that:
A_dif(1)= dF/dR1
A_dif(2)= dF/dR2
………………..
A-dif (8)=dF/dR8
Can this be done so we do not need to repeat the operation 8 times.

