Community Tip - If community subscription notifications are filling up your inbox you can set up a daily digest and get all your notifications in a single email. X
I have defined the more than one values for a variable.
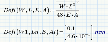
The answer 0.21 mm is wrong (0.1mm is correct value).
Kindly figure out why the answer is wrong.
Regards,
GSVP
Solved! Go to Solution.
Hi,
You need to do element by element arithmetic not matrix arithmetic.
Math | Operation and Symbols | Operators | in the lower right hand corner a V with an arrow over it.
select the whole equation right hand side and apply the operator.
Hi,
You need to do element by element arithmetic not matrix arithmetic.
Math | Operation and Symbols | Operators | in the lower right hand corner a V with an arrow over it.
select the whole equation right hand side and apply the operator.
HI,
Sry to bother can you save it Prime8 version
Thanks
GSVP
I would like to point out that there is an easier and better way to define W1. Rather than manually enter 9.81 for the gravitational acceleration, Mathcad includes g as a constant. So, I suggest you do this:
This way, your mass data is entered as data (rather than just a number) and you let Mathcad handle the math and units.
Thank you fred for the Tip
I will use in future
Terry already said that 'vectorization' does the magic here.
Its often a good idea to turn the calculations into functions which expect single scalars as arguments and after defining the input vectors call this function vectorized:
I wouldn't necessarily vote for it now, but you can also execute the vectorization in the function and then don't have to think about vectorization when calling it:
