Community Tip - Did you get an answer that solved your problem? Please mark it as an Accepted Solution so others with the same problem can find the answer easily. X
Hello,
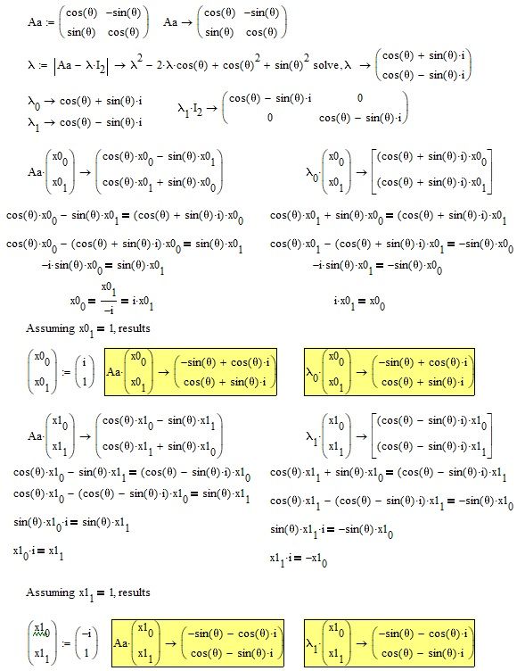
What is the reason for these two different results?
(The result with Mathcad function is good)
But I think, if I am not making a mistake in the first approach, both results should be identical.
So, what am I missing, or what am I doing wrong?
Mathcad also considers the case that theta is an integer multiple of pi.
You must also be aware that on contrary to the eigenvalues, the eigenvectors are not unique.
You can see this if you compare the numeric and the symbolic result of "eigenvecs([n x n - matrix]))".
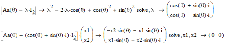
The simplest way to proceed is the following:
