Hi,
I'm using mathcad prime, and I'm working with a beam subjected to a uniform distributed load, supported at two points.
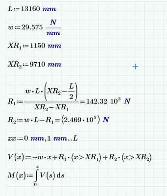
I'm managed to calculate Reactions and also plot Shear and Moment.
I'm having trouble finding minimum/maximum values for my Shear and Moments, I tried to use the max function but did not succeeded.
Any help on how can I get the maximum and minimum values of the referred functions within the range of xx?
Here is one way to do it:
For future questions please always attach your worksheet!
Worksheet in format P4 attached
