Community Tip - Visit the PTCooler (the community lounge) to get to know your fellow community members and check out some of Dale's Friday Humor posts! X
can somebody tell me why this is saying units are not compatible, it works when I take it out and do it by itself??
Thank you
Solved! Go to Solution.
Not all your terms have the same units.:
Why is there a green circle around G?
Hi,
The units for Iw are mm^6 not mm^4
Cheers
Terry
Thanks, Terry, yes it's working now!!!!!
Because in my Mathcad redefine something again it shows it in green, i dont know how to turn it off. but it should only consider immediate G above the formul
a. See screenshot. ok so may i cannot use this formula, however I have seen it used in other matchad sheets.
Hi,
In the screen shot above G is out by a factor of 10.
It was correct in your original post.
Cheers
Terry
thanks Terry
@AM_10506871 wrote:
Because in my Mathcad redefine something again it shows it in green, i dont know how to turn it off.
You can turn it off by using the option in the 'Calculaton' ribbon or you can select which kind of redefinition should trigger the warning:
Thank you Werner. So I unselect all of those under Built-in and User Defined?
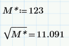
Also do you how to write M* = and V* = ? for my calcs as it does not all me to define my moments and shear like this
Thank you.
Antony
@AM_10506871 wrote:
Thank you Werner. So I unselect all of those under Built-in and User Defined?
You don't need to singly deselect them. If you click the button "Redefinition" it turns off all redefinition warnings. If you click it again it turns on just the selected ones. Personally I never have these warnings turned on.
Also do you how to write M* = and V* = ? for my calcs as it does not all me to define my moments and shear like this
The asterisk, when typed normally, is of course interpreted as a multiplication operator. There's a trick (as far as I know, undocumented) for creating variable names with special characters. First, type quotation marks, as if you were entering a string and then "M" and "*" :
And finally, press DEL to delete the quotation marks. This creates the desired variable name.
It may be easier to copy the variable name as needed later rather than typing it in each time in the manner described - your choice.
