Community Tip - If community subscription notifications are filling up your inbox you can set up a daily digest and get all your notifications in a single email. X
Help please with plotting. TXT and Prime 7 file ATTACHED.
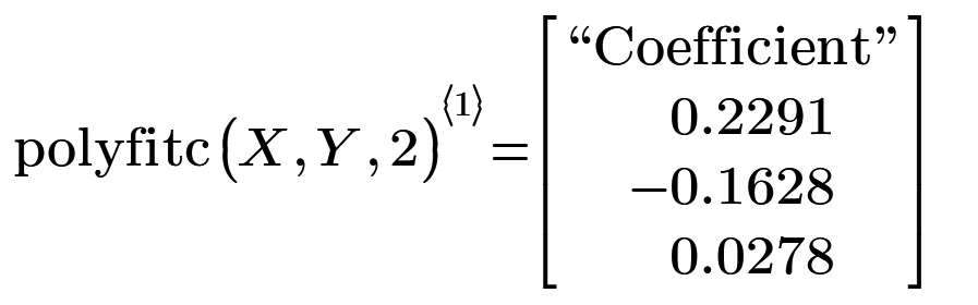
Help also with adding data to a matrix
Please see the end of Mathcad file for where I am a bit stuck.
Thank you.
Solved! Go to Solution.
Hi,
Enclosed File adds to the plot and adds column to matrix as asked.
Cheers
Terry
Hi,
Enclosed File adds to the plot and adds column to matrix as asked.
Cheers
Terry
