Community Tip - Did you get called away in the middle of writing a post? Don't worry you can find your unfinished post later in the Drafts section of your profile page. X
I want to plot the adiabatic flame temperature of a mixture, given the excess air present but I don't know how to tell/write the program to find the value given the excess air.
I'm using Coolprop's fluid properties libraries to get the enthalpy of the mixture and mathcad prime 7.
Hi,
Have downloaded the Coolprop for Prime and set it up.
I use Prime 8 so will use images to show you what I did. Perhaps some one in the community can change it to Prime 7.
A) Move all the function definitions in the solve block to above the solve block and change the equal sign.
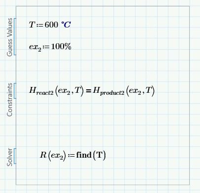
Can you check some of the formulas?
B) Define only one ex2 . Turned the solve block into a parametrized function in ex2. One equation one unknown T.
C) Defined a range variable ex and used it to calculate R at every ex and plotted it
Cheers
Terry
Hi,
Have made a small change that is needed.
Put definition of ex2 above the solve block.
This gives a more believable graph.
Cheers
Terry
Prime6 translation.
Success!
Luc
Thanks it works but it still doesn't show the correct graph. For R(100%) it gives correct value but the adiabatic temperature should decrease exponentialy, not increase. I tried putting T2<650C on the solve block but it doesnt find any values outside the R(100%) which is false because I have done it on paper before.
Maybe is the way Mathcad and Coolprop work together or an error on my part.
Hi,
Maybe the clue is in the title of the post "iterative"
Using the parametrized solve block treats each step calculation as a new cycle with no recognition of previous calculation.
An iterative solution uses the previous results to calculate the new step.
If you are solving next step with previous step results you need to use a small program to do it.
Can you elaborate on how the previous solution generates a next step and the program can be written for you
Cheers
Terry
You are right, its not an Iterative problem. It must treat each cycle as a new one and find a new T2 each time but as it is, the program doesn't find the correct values. For example when ex2= 110%, the constraint of the solveblock isn't true. Hreact2 and Hproduct2 are not equal.
Hi,
You must remember the units for temperature.
I am trying something else.
Cheers
Terry
Hi,
Sorry about that should be
Hi,
I said I was going to do something else.
Downloaded the Mathcad 15 version of CoolProps and installed it.
Rewrote the worksheet in Mathcad15.
There are some subtle differences between the older Coolprops Mathcad 15 and Coolprops Prime.
Putting the units the same for both versions does not get the same results.
Oxygen is off by a factor of 4, Acetone is off by around 10%. Others are equal.
Mathcad 15 does not solve the solve block because of the differences in oxygen value in Mathcad 15.
The Coolprops Prime value for oxygen is the more believable?
So a lot of work for not much gain. Cannot help any more.
Cheers
Terry
