Community Tip - You can subscribe to a forum, label or individual post and receive email notifications when someone posts a new topic or reply. Learn more! X
Hello,
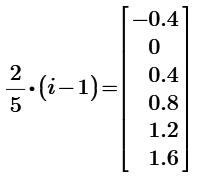
The right endpoints of the five intervals are:
where i = 1, 2, 3, 4, 5.
The width of each rectangle is:
and the height of each rectangle can be obtained by evaluating f(x) at the right endpoint of each interval.
How to create the below rectangles in Mathcad Prime (8)?
Solved! Go to Solution.
So, I need a function in which that if we give the Width and the Height of a rectangle, that function to draw the rectangle based on the Width and Height. Width to be a parameter that can be modified. Height to be a parameter that can be modified.
In the first case (inscribed rectangle):
Width is:
Height is:
In the second case (circumscribed rectangle):
Width is:
Height is:
Can you tell me the options that you have selected in the Plot -> Change Type for this graph for each function: f(t), f(t). df(t), df(t), df(xi)?
Can you tell me the options that you have selected in the Plot -> Change Type for this graph for each function: f(t), df(t), df(t), f(t), df(xi)?
Or maybe if you can upload a Mathcad Prime 8 file then it is ok even this way.
In Plot -> Change Type:
f(t) - Line Trace
df1(t) - Column Trace
df1(t) - Line Trace
df1(xi) - Column Trace
In Plot -> Change Type:
f(t) - Line Trace
df2(t) - Line Trace
df2(t) - Column Trace
df2(xi) - Column Trace
In your case, how you marked this options? How you did?
@ttokoro
For the first case I found how to do:
In Plot -> Change Type:
f(t) - Column Trace
f(t) - Line Trace
df1(t) - Column Trace
df1(t) - Line Trace
df1(xi) - Column Trace
For the second case, I still do not find the correct options:
What are In Plot -> Change Type:
f(t) - ............... Trace
df2(t) - ............... Trace
df2(t) - ............... Trace
f(t) - ............... Trace
df2(xi) - ............... Trace
@ttokoro
So, it is ok now. I found now how to set-up each function in Plot -> Change Types also for the second plot:
In Plot -> Change Type:
f(t) - Line Trace
df2(t) - Line Trace
df2(t) - Column Trace
f(t) - Column Trace
df2(xi) - Column Trace
The above case is for inscribed rectangle.
@ttokoro
But there is a second case (circumscribed rectangle):
The left endpoints of the five intervals are:
where i = 1, 2, 3, 4, 5. The width of each rectangle is :
and the height of each rectangle can be obtained by evaluating f(x) at the left endpoint of each interval.
Again Prof. Birkelands Hatch functions can come handy.
Look up his examples for the Riemann sums and also for the trapezoid method in the already posted file.
You may also be interested in this thread
https://community.ptc.com/t5/Mathcad/Simple-Riemann-sum/m-p/93217
Who knows, some of the files posted there may even work in Prime after conversion.
Yes, the subject of this topic is about Riemann sums, how to make that rectangles (with different width and height) for some functions. Only for better understanding of integral calculation/concept...
