Community Tip - Stay updated on what is happening on the PTC Community by subscribing to PTC Community Announcements. X
Thank you all, this picture illustrate your answers in 2D
Sorry for this stupid question
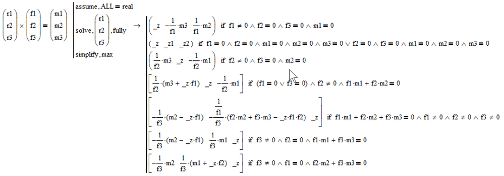
There is no single, unique solution.
Normally you will have one degree of freedom and the solution may depend on one parameter.
The expression below may be simplified if we could assume that the scalar product of M and F is zero.
Unfortunately Mathcad won't let me add that assumption.
There is a unique solution - it is a center of gravity point, for example.
@ifomenko wrote:
There is a unique solution - it is a center of gravity point, for example.
I guess not, if all you have is moment and force vector.
Can you provide an example.
There is no unique solution. The attached sheet illustrates this. We should get the magnitude of r by dividing moment by force, and we should get the direction by taking the cross product of force and moment. This works if the axis align with r, F, and M; but not in a general case. It's only valid if r and F are orthogonal, If they are not, then the moment (the cross product) will be less than the algebraic product.
Thank you all, this picture illustrate your answers in 2D
Sorry for this stupid question
