Community Tip - Have a PTC product question you need answered fast? Chances are someone has asked it before. Learn about the community search. X
i dont't know how to solve an equation with constant like 'A' or 'B'
for example:
x+B=A
solve, x
it is available in MATHCAD 15, but not in Prime
how can i realize this function?
Solved! Go to Solution.
How can you input the "(x y)" ?
Its a matrix (1 row, 2 columns)
Keystrokes:
Ctrl-M (or simply type [)
x
Shift-Space
y
:
....
In Prime you get square brackets to indicate a matrix and you also may simply type square brackets to create a matrix.
Prime can solve this, especially since it's pretty trivial.
Type the following
A:=5
B:=7
A=x+B (the equals sign here is CTRL-=)
Then, go to the Symbolics menu and click on the right arrow operator (→), which will place it after A=x+B (ignore the answer for now)
Go back to the Symbolics menu and click on the operator solve, which will place it above the right arrow operator, then type ,x
Hit the Enter key to get the answer of -2.
@Ethan.Z wrote:
i dont't know how to solve an equation with constant like 'A' or 'B'
for example:
x+B=A
solve, x
it is available in MATHCAD 15, but not in Prime
how can i realize this function?
Its the same in Prime as in MC15
Just use the symbolics if you are looking for a symbolic solution
Or use the root-function or a solve block for a numeric solution (you'll have to provide values for A and B in that case)
Thanks, it works!
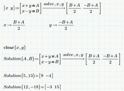
But how about the equation set like this?
The solve block in Prime only works with numeric items, that is, it doesn't work with symbols alone.
If you provide numerical values for A and B, the solve block will give the numeric answers for x and y.
If you want to solve it purely symbolic (with no numeric values for A and B), use the symbolic solver:
You can even assign the results to the variables you solve for:
Note that the expression involving solve turns red. That is because the numeric processor complains that A and B are (numerically) unknown. But the symbolic processor doesn't mind, and symbolically evaluates x and y without problems.
Success!
Luc
Thanks, i solved the issue.
One more question:
How can you input the "(x y)" ?
How can you input the "(x y)" ?
Its a matrix (1 row, 2 columns)
Keystrokes:
Ctrl-M (or simply type [)
x
Shift-Space
y
:
....
In Prime you get square brackets to indicate a matrix and you also may simply type square brackets to create a matrix.
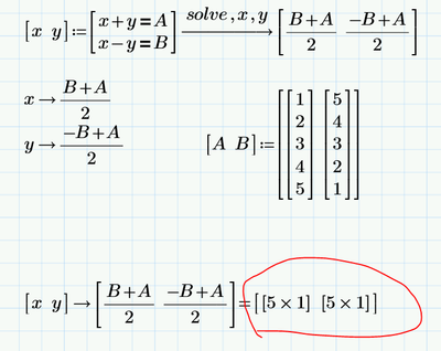
but why i can't get the same result as you? I checked that everything is the same.
Just change the on/off of the prime table menu.
it works.
Thanks a lot!
