Community Tip - Visit the PTCooler (the community lounge) to get to know your fellow community members and check out some of Dale's Friday Humor posts! X
Good morning friends of the forum, I am new to mathcad,
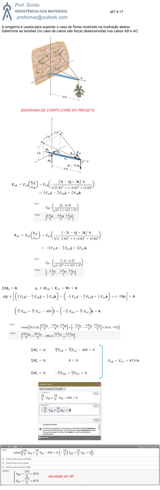
I would like to ask a question with the masters of the forum, how can I build the problem that I send in jpg in mathcad prime,
I will post the solution of the problem that was made in microsoft mathematics.
I wonder if it is possible to solve the same problem in mathcad prime.
Attached also what I can calculate in mathcad, is incomplete.
Solved! Go to Solution.
Attached Prime 4 file should be readable with 4 or 5
Fred did not have the words to thank for help in my problem, I learn a lot from you every day. TKS
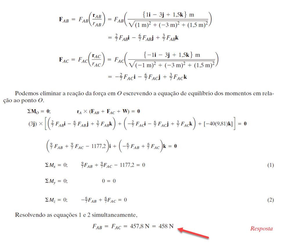
Dear Fred, I have restated the exercise according to your tips, but the result does not match the book, where can I be wrong?
Are you sure you attached the right prime sheet?
I see little difference with the previous one, and no resemblance at all with what Fred provided!
Luc
I apologize! The earlier document was not correct. Attached please find a corrected document with checks. Your example (I believe) is not correct.
Thanks fred, I checked it here and I think I found the problem that does not beat the result, I believe the inverters were incorrect, I changed it and the result hit. But taking advantage of the situation I would like to take advantage of your high engineering ability to explain why you have split the versors in the formula, as you can explain, and if you can, indicate what part of the vector study this is. Follow the modified file in mathcad, make sure this is correct. Thanks and a big hug to the friend.
Good afternoon LucMeekes, when I went through the problem in the forum I sent a problem in English, then I solved the same problem in Portuguese and could not get to the result.
