Community Tip - Did you get called away in the middle of writing a post? Don't worry you can find your unfinished post later in the Drafts section of your profile page. X
While performing iteration for neutral axis calculation for Doubly Reinforced Concrete beam, I suffered an error.
Kindly help me ASAP.
Thank you
Solved! Go to Solution.
Hi
Added a line to the stress strain table that means the linterp correctly defines the limits.
Removed the duplicate stress strain calculation.
Renamed the compressive and tension linterp functions by adding c and t to the names
Hi
Added a line to the stress strain table that means the linterp correctly defines the limits.
Removed the duplicate stress strain calculation.
Renamed the compressive and tension linterp functions by adding c and t to the names
thank you.
For the iteration, you have put extra line for upper limit for strain.
But for the lower limit of strain when it is less than 0.00144, stress varies as 'E' times strains. E = modulus of elasticity. I have put it in the red box.
The remaining I have updated as you have suggested.
How to solve, kindly suggest.
Kindly find the attachment.
thank you.
Hi,
The first two lines of the stress strain table when linearly interpreted get a straight line fit from 0 to 0.00144 it does not need to be done twice.
Cheers
Terry
Thank you very much.
This iteration has a problem with the initial assumed value x in the range of 131-142; it is working well for values.
kindly help me.
Thanks and regards.
MSRAZA
This iteration has a problem with the initial assumed value x in the range of 131-142; it is working well for values.
x??? which range??? And what is not working? Is there an error or results which seems wring?
Here are my two cents, based on what I saw in your attached sheet.
Functions and variables which are not guesses should be defined in front of the solve block.
Its very inefficient to switch between two sets of input values by having to manually disable/enable a couple of regions.
I suggest you turn the solve block into a function of the variable input values.
That way you also can compare the results for different materials side by side.
I also added the initial guess value for x.u as function argument so you quickly can compare the results for different guesses.
But as far as I can see the results are pretty much independent from the guesses
As you can see, I assumed that the interpolation should not only be used for calculation the initial guess values but also as additional constraints. The same applies to the values for epsilon.st and epsilon.sc.
I also assumed that x.u_lim is supposed to be an upper limit for x.u and so I added xu<x.u_lim as constraint.
For reasons unknown to me it is exactly this constraint why the results in my sheet are slightly different from yours. You can check by disabling this constraint.
If x.u_lim is meant as a lower limit for x_u, you should change it to x.u > x.u_lim of course.
Your solve block still has some degree of freedom. The solutions are not unique and you still could add other constraints.
Prime 10 sheet attached
1. Which range?
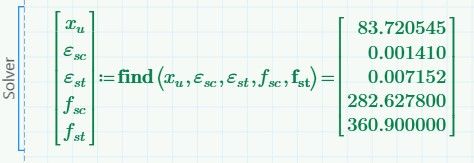
Putting guess value of Xu from 131 to 142, the solver gives 80.26
And for guess values other than the above, the solver is giving 83.72.
This is an error that I am facing.
2. Two sets of input value.
In my uploaded file, the one set of input values is disabled.
@MSRAZA wrote:
Putting guess value of Xu from 131 to 142, the solver gives 80.26
And for guess values other than the above, the solver is giving 83.72.
But 80.26 is the wrong value and 83.72 is the correct solution
And adding the constraint x.u<x.u_lim, always gives us the correct solution!
Why did you think that 80.26 is correct and 83.72 is wrong?? Its the other way round!
And if you know/suspect, that the value of x.u is around 80, why do you use a guess value of 140?
Numerical approximation algorithms usually work best if the initial guess is a close to the expected solution as possible.
BTW, the incorrect solution 80.26 is due to numerical inaccuracy. If you change the value for CTOL from its default 10^-3 to 10^-4 or something even smaller, you seem to always get the correct solution.
You can change CTOL either from the menu (Calculation tab - Worksheet settings) or simply by typing CTOL:=10^-4 somewhere in front of the solve block, preferably at the top of the sheet.
I just checked to two solutions (I had to disable the constraint x.u<x.u_lim and reset CTOL to its default to get the wrong value 80.2626...
As you can clearly see, 80.26 does not fulfill the given equation.
Another way which is more independend from the CTOL setting is to define a function f from your main equation and look for its zero using the built-in function "root".
"root" can either be used by providing a guess value or by stating a range.
Thank you.
Now everything is fine.
Thanks and regards.
MSRAZA.
