Community Tip - Did you get called away in the middle of writing a post? Don't worry you can find your unfinished post later in the Drafts section of your profile page. X
I am trying to solve a equation as provided in handbook but no matter if i use units or not I am not getting the correct result. I tried with applying units but somehow it gives me wrong solution
I see that you posted your question about two and a half hours ago an I see still an "Virus scan in progress" and so can't access your attachment.
Obviously something went wrong. I notified moderator but I also suggest you try attaching the worksheet once more.
It didn't work the second time either but it worked via the PM you sent to me.
A mod or admin may have a look at what may be the cause of this problem @Jaime_Lee
I attach your file here but I guess I found the error - you were too generous with the zeros 😉
I see that I also had no luck in attaching the file. Apparently a general problem that is currently occurring here in the forum. Hope it will be fixed soon.
This isn't working with units
@OM_10154742 wrote:
This isn't working with units
Prime is unit aware and checks for consistency.
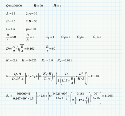
You definitely can't add a dimensionless number like 1.17 and an area like 1 in^2.
You sure can only add quantities of the same dimension!
I don't know where this formula stems from and what the meaning of the numbers is, but you get the correct result if you add the unit in^2 to the 1.17.
Thank you Werner
But when i try to use the variable instead of direct number in the same form the result is getting changed
Try to attach the worksheet. I guess it should work now.
Maybe the slight difference is because D is not 0.167 but 1/6=0.1666666.... ?
What happens if you write 1/6 instead of 0.167 in the lower expression both times it occurs?
Yes D seems to play the role for increased value in calculation how do i make it stop? I need the solution to be accurate with the variable equation is there any way in prime i can stop the integers to go beyond 0.167 and calculate the value correctly?
@OM_10154742 wrote:
Yes D seems to play the role for increased value in calculation how do i make it stop? I need the solution to be accurate with the variable equation is there any way in prime i can stop the integers to go beyond 0.167 and calculate the value correctly?
I seem not to understand.
The result you get when you use the variables IS the correct one.
The other which is using 0.167 instead of the correct value 1/6 is an approximation.
But if you really want to duplicate this result when using the variables, you could define D:=round(A/R*....., 3) to permanently set D to the value rounded to three decimals.
Hi, thank you, @Werner_E for flagging this. I had the file in question (the one able to be downloaded from private messenger) and sent to Khoros for investigation.
Strange behavior, indeed!
Hi @Jaime_Lee ,
I already guessed the the answer supposedly from me to me which you deleted now was from you 🙂
I was actually afraid that the problem would affect all attachments, but of course it is quite possible that it is only this file. The OP had moved the file to an archive the second time, but a good system should of course be able to open that and check the file anyway.
I am now attaching two files as a test. One is a prime file from another thread, which caused no problems there, and the second is the file in question, but in a password-protected archive. The forum system should now no longer be able to access the file and should either reject the attachment for this reason or allow it through unhindered.
The password BTW is Jaime_Lee 😉
EDIT: OK, both files were attached normally. Now I try to additionally attach the file in question in its native format.
EDIT 2: Also the file in its native format was attached normally without problems now. So either it was a temporary hickup of the forum software or Khoros was quite fast in fixing the problem.
Ok! Will have this added to this ticket info if need be. Great password 😉 Sends vibes of friendly....stellar CM skills...don't you think? More to come on this!
Not sure if you already saw my second Edit. The problem seems to be fixed now already.
stellar CM = ??
sure not "The Stellar CM-6 Studio Microphone" (https://stellarmicdesign.com) 😉
Wish I could say this was my "side hustle" but no microphone business for me! Thank you for the update!
I simply did not understand what "stellar CM skills" means and G.Translate and DeepL were of no help. So I searched the net for it but found the mic-
My American style of English was basically saying stellar = aweseome (exceptional, above the rest). I wanted your validation 😉
@Werner_E I was playing with you. My Monday night attempt of being funny.
But, you did find me an interesting second job career choice aka "side hustle" (selling microphones) should I ever need one.
This post has gotten way off topic. No more from me.
Going to go with "fantastic community manager skills"...
Oh sure, thanks! CM = Community Manager, I didn't get that.
