Community Tip - Did you get an answer that solved your problem? Please mark it as an Accepted Solution so others with the same problem can find the answer easily. X
Hi, I want to get vectors of the same length. Is it possible to do this
Thanks in advance
Solved! Go to Solution.
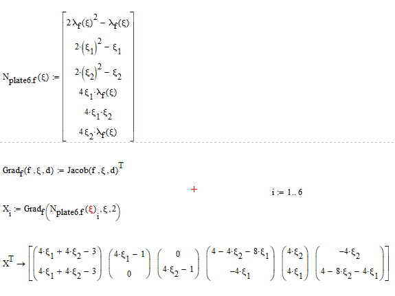
Maybe that way, using literal indices
No, but you`ve given me a good idea
without literal indices
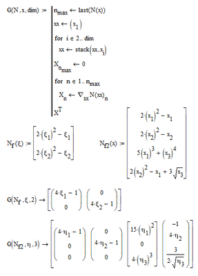
This function may be more versatile
Here is a more general version of the above
I remember may be a more elegant way by Jacob function
