Community Tip - Visit the PTCooler (the community lounge) to get to know your fellow community members and check out some of Dale's Friday Humor posts! X
Hi everyone,
I’m trying to determine whether Mathcad Prime can symbolically or numerically solve:
• a single 3rd-order (cubic) polynomial,
• a simple system of four linear equations with four unknowns.
Are there built-in functions or recommended workflows for this in Mathcad Prime, Any examples or best practices would be appreciated.
Thanks!
Numerically should be no problem. For the cubic solution use the root() function or a solve block.
For a set of equations use lsolve() or a solve block.
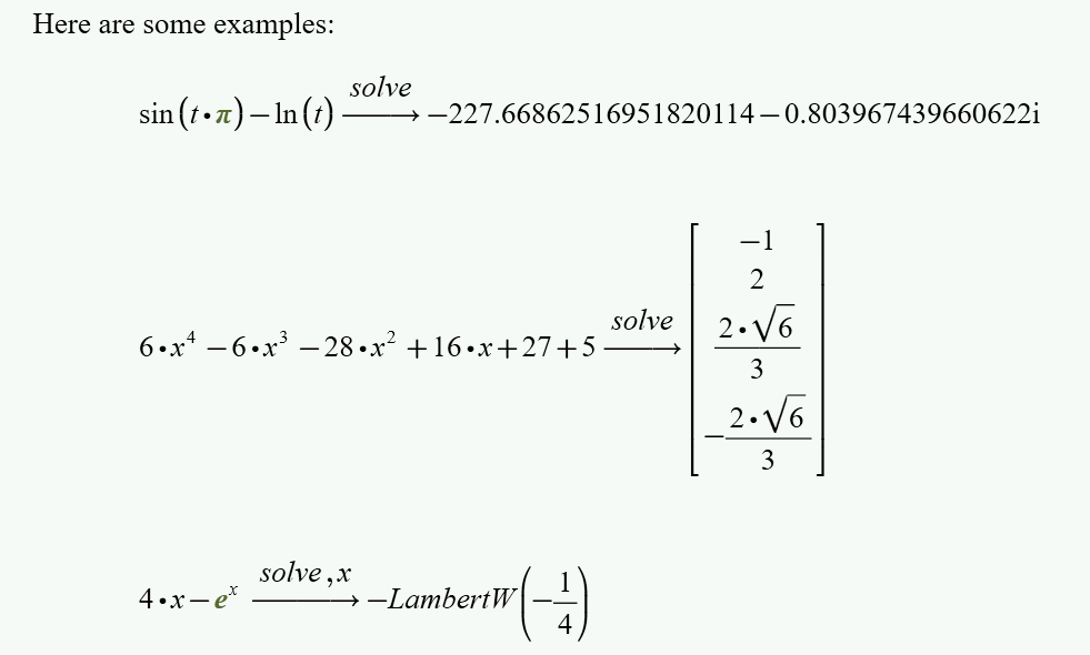
Symbolically try this:
(That is:
)
and this:
(That is:
)
But you may get the trouble indicated here:
https://community.ptc.com/t5/Mathcad/The-symbolic-result-returned-is-too-large-to-display/m-p/750983
Success!
Luc
