Community Tip - If community subscription notifications are filling up your inbox you can set up a daily digest and get all your notifications in a single email. X
Hi experts,
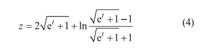
I am trying to use Mathcad to solve the equation based on Equations 4 and equation 6.
below equations are from this paper.
https://ieeexplore.ieee.org/stamp/stamp.jsp?tp=&arnumber=9913417
when I try to use that to solve the equation. Mathcad can't find the answer in equation 6. but it is OK to get the answer by using eqaution4.
I know equations 4 and 6 are different, but I don't understand why I can find it. but this paper can.
so I would like to know if my operation is wrong.
ps: the version of Mathcad is Mathcad 15
Solved! Go to Solution.
Hi
In MathCAD Prime 3.1 it works fine
May I know where I was wrong?
I can't use the unit in my equation?
You had defined Psi0 with a unit. There are two problems with that:
1. The argument of the exponential function must be unitless In order for that t must have the same unit as Psi0.
2. The symbolic processor of Mathcad doesn't know about units. At best it treats them as unknown variables.
You had defined Ig with a unit. The rhs of the second equation gets that same unit (because no unit elsewhere.), The lhs of the equation is a complex number without unit. That cannot be solved.
Success!
Luc
Got it, thanks.
