Community Tip - Did you get called away in the middle of writing a post? Don't worry you can find your unfinished post later in the Drafts section of your profile page. X
Is there any way I can prevent mathcad from multiplying both numerator and denominator here? This isn't a simplification I'm looking for, it messes up my further calculations.
Unfortunately we don't have much ways to influence and control how Primes symbolics would simplify an expression.
In your case maybe using just integers to avoid the symbolics switching automatically to float mode may be a way ...
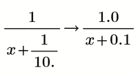
Forcing Primes symbolics into float mode (this is done by using the decimal point anywhere in the expression) seems to additionally trigger some kind of "simplification" which cannot be suppressed:
