Community Tip - Did you get an answer that solved your problem? Please mark it as an Accepted Solution so others with the same problem can find the answer easily. X
Hi all,
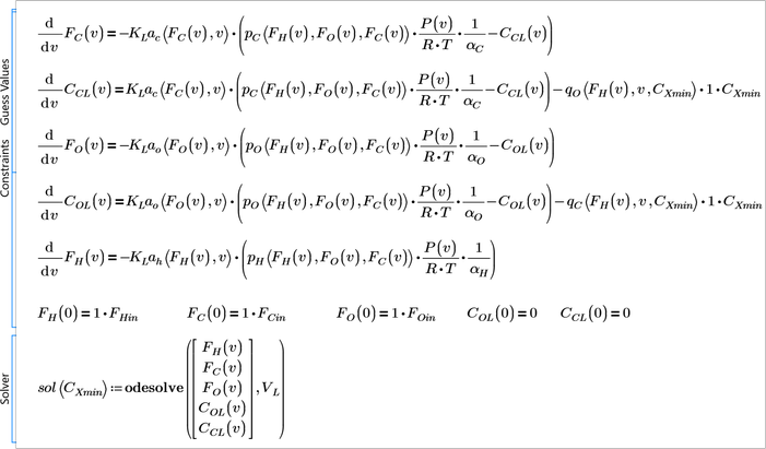
I want to use ODESOLVE to solve the set of equations for a given volume (v). On top of that, I want to make all of those equations also depended on the variable CXmin, to evaluate the influence of this parameter on the costs calculated below. However, I run into the problem that I don't know how to set Cxmin as a unkown in the solveblock, causing errors. Can anyone help me making the solveblock solve for the volume (v) while setting CXmin as a, to be chosen, variable too? Your help is greatly appreciated in advance.
With kind regards!
Solved! Go to Solution.
To make the solve block dependable upon a parameter like C.Xmin you turn the solve block into a function of this parameter, but you don't specify the functions involved as being dependent on C.Xmin, but rather just dependent on v.
No you can assign the functions for a specific value of C.Xmin (in the example 125)
Remark: Your plots with the q.. and mu functions can't work because you defined these functions as function with three arguments (third one is always C.Xmin) but you use it with two arguments only.
In case you wan to make the functions dependent on C.Xmin as second function argument, you could do it that way
etc.
To make the solve block dependable upon a parameter like C.Xmin you turn the solve block into a function of this parameter, but you don't specify the functions involved as being dependent on C.Xmin, but rather just dependent on v.
No you can assign the functions for a specific value of C.Xmin (in the example 125)
Remark: Your plots with the q.. and mu functions can't work because you defined these functions as function with three arguments (third one is always C.Xmin) but you use it with two arguments only.
In case you wan to make the functions dependent on C.Xmin as second function argument, you could do it that way
etc.
