Community Tip - If community subscription notifications are filling up your inbox you can set up a daily digest and get all your notifications in a single email. X
I am trying to get solution for equation getting error
Solved! Go to Solution.
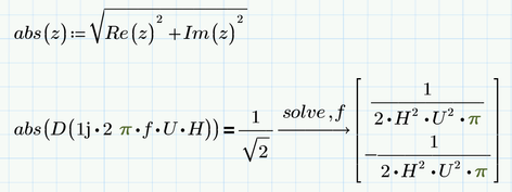
Indeed, with:
You'd expect:
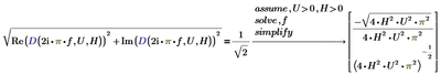
But Prime 7 gives you:
or, with another try:
But try:
And then:
Success!
Luc
Indeed, with:
You'd expect:
But Prime 7 gives you:
or, with another try:
But try:
And then:
Success!
Luc
You may redefine the "abs" function:
