Community Tip - Did you get called away in the middle of writing a post? Don't worry you can find your unfinished post later in the Drafts section of your profile page. X
Hola a todos, acabo de actualizar a la versión 8 prime y ahora no puedo encontrar el vector de respuestas.
¿Tengo que usar el bloque de resolución obligado? personalmente me parece más cómodo la herramienta "solve, x"
Hi everyone, I just upgraded to 8 prime and now I can't find the response vector.
Do I have to use the forced resolution block? I personally find the "solve, x" tool more comfortable
Solved! Go to Solution.
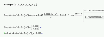
The variable (2 element vector) S is symbolically defined, but numerically undefined, because next to the unit cm, it contains a variable cm that is undefined.
Now you could define this cm as being 1 cm, but I think you should approach the matter in a different way.
Using 'solve,x' means that you are using the symbolic processor. You'd normally do that only if you are interested in the symbolic solution. And for your particular problem there are two solutions, due to the fact it's a quadratic expression in x.
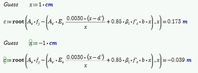
Without using a solve block, you can use the function root, which needs a guess value:
or two additional parameters to define the range in which x is to be found:
The other method does use the symbolics, but with all parameters numerically undefined:
Note that while Prime allows magic numbers and units in symbolics, it makes a mess of the result too often, as in your case where it changed the unit cm to a variable.
In this case I would advise to use a variable name for 0.0030 and 0.85. A symbolic expression should ideally only contain variables and constants (1, 2, or e, pi), but never any 'magic numbers' (Unnamed numerical constants as described here) such as your 0.0030 and 0.85.
It might look like:
Success!
Luc
You should attach your Prime 8 worksheet file.
(Debe adjuntar el archivo de la hoja de trabajo de Prime 8.)
Success!
Luc
Oh, I understand, it's my first post.
Thank you.
The variable (2 element vector) S is symbolically defined, but numerically undefined, because next to the unit cm, it contains a variable cm that is undefined.
Now you could define this cm as being 1 cm, but I think you should approach the matter in a different way.
Using 'solve,x' means that you are using the symbolic processor. You'd normally do that only if you are interested in the symbolic solution. And for your particular problem there are two solutions, due to the fact it's a quadratic expression in x.
Without using a solve block, you can use the function root, which needs a guess value:
or two additional parameters to define the range in which x is to be found:
The other method does use the symbolics, but with all parameters numerically undefined:
Note that while Prime allows magic numbers and units in symbolics, it makes a mess of the result too often, as in your case where it changed the unit cm to a variable.
In this case I would advise to use a variable name for 0.0030 and 0.85. A symbolic expression should ideally only contain variables and constants (1, 2, or e, pi), but never any 'magic numbers' (Unnamed numerical constants as described here) such as your 0.0030 and 0.85.
It might look like:
Success!
Luc
Thank you very much Luc, your explanation is clearer than water
Sección de la viga has cm unit. Fix it unit only then it works.
