Community Tip - Did you get called away in the middle of writing a post? Don't worry you can find your unfinished post later in the Drafts section of your profile page. X
Hello Experts,
I am pretty new to mathcad and unable to understand what I am missing in program I have written.
Any help is appreciated
Solved! Go to Solution.
@StuartBruff wrote:
@JR_10083483 wrote:
Thank you for the quick suggestion and detailed explanation
I was looking for output as below
Is it possible to have it in Mathcad?
There are other ways, using matrix operations or user-defined functions to, say, replicate a vector.
Oh well, I guess my cup of tea can wait a few minutes ...
Stuart
@JR_10083483 wrote:
Hello Experts,
I am pretty new to mathcad and unable to understand what I am missing in program I have written.
Any help is appreciated
There's rather a lot to unpack for such a short program, so I've put my comments in the attached worksheet. Don't worry, Mathcad's differences from most programming languages mean that things such as array indexing and implicit multiplication cause confusion initially, but people soon get used to it.
Stuart
Edited to add:
Thank you for the quick suggestion and detailed explanation
I was looking for output as below
Is it possible to have it in Mathcad?
@JR_10083483 wrote:
Thank you for the quick suggestion and detailed explanation
I was looking for output as below
Is it possible to have it in Mathcad?
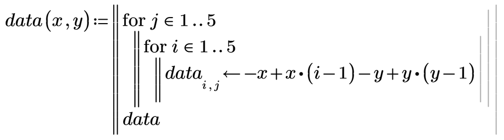
Almost. There are several ways to create the array of values, but I don't think you can display the numbers like that (right justified, trailing zeros except for zero itself) without using a component (eg, Excel).
As for the values, not sure if the programs work because I only have Mathcad Express, but ..
And here's one with a larger set of values
There are other ways, using matrix operations or user-defined functions to, say, replicate a vector.
Stuart
@StuartBruff wrote:
@JR_10083483 wrote:
Thank you for the quick suggestion and detailed explanation
I was looking for output as below
Is it possible to have it in Mathcad?
There are other ways, using matrix operations or user-defined functions to, say, replicate a vector.
Oh well, I guess my cup of tea can wait a few minutes ...
Stuart
