Community Tip - Did you get called away in the middle of writing a post? Don't worry you can find your unfinished post later in the Drafts section of your profile page. X
Hello Everyone.
From :
To : " Is it possible to symbolic solve, x , y , the above ? "
Thanks in advance for your time and help.
Regards.
Solved! Go to Solution.
Yes, muPad in MC15 does also not find a solution if z is undefined.
Interestingly Prime 10 is able to do so, but the solution (once again) is too large to get displayed, similar to what Luc had already shown.
Nonetheless the result can be assigned a function which then can be evaluated numerically.
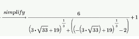
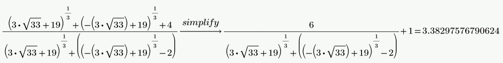
Prime will also allow the display of the symbolic evaluation of single elements of the result matrix, but the expressions are really huge and Primes symbolics is not able to simplify them in a reasonable way, after all it looks that S[2,0 should simplify to 1 and the corresponding y-value at least to
Here is what Prime comes up with:
Here are the symbolic results of the real valued solution in its full length:
EDIT: The above pictures were taken individually (Prime does not allow more) by copy & paste and I just realized that the quality is abysmally bad. Copy & paste in Prime is simply a tragedy and the developers should be sent to the desert for such a disaster.
I am therefore attaching a high-resolution screenshot - must be downloaded locally because the image viewer of this forum reduces the resolution in an unusable way.
There are three different solutions to the problem:
Given z as:
their numerical values are:
Success!
Luc
Yes, muPad in MC15 does also not find a solution if z is undefined.
Interestingly Prime 10 is able to do so, but the solution (once again) is too large to get displayed, similar to what Luc had already shown.
Nonetheless the result can be assigned a function which then can be evaluated numerically.
Prime will also allow the display of the symbolic evaluation of single elements of the result matrix, but the expressions are really huge and Primes symbolics is not able to simplify them in a reasonable way, after all it looks that S[2,0 should simplify to 1 and the corresponding y-value at least to
Here is what Prime comes up with:
Here are the symbolic results of the real valued solution in its full length:
EDIT: The above pictures were taken individually (Prime does not allow more) by copy & paste and I just realized that the quality is abysmally bad. Copy & paste in Prime is simply a tragedy and the developers should be sent to the desert for such a disaster.
I am therefore attaching a high-resolution screenshot - must be downloaded locally because the image viewer of this forum reduces the resolution in an unusable way.
Many thanks for your time, Werner. 🙄 🤔 😊 And once more the small query :
From your y-value, the above :
Best Regards.
