Community Tip - Did you get called away in the middle of writing a post? Don't worry you can find your unfinished post later in the Drafts section of your profile page. X
As resol for as equações para encontrar o valor de x e eu sou novo no mathCad Eu uso o MathCad Prime 5.
Solved! Go to Solution.
Furthermore you have to consider that x^2 = 36 has two solution! Not only x=6 but also x=-6.
So you will get four solution pairs.
But as you have squared (which is no equivalence transformation) you may get "solutions" which aren't solution to the original problem and you have to filter out those wrong solutions and only the one pair which Prime came up with from the beginning should be left. As you limit your manual calculation to just three decimals I won't expect too much precision - probably no more than one decimal.
With the Solve block
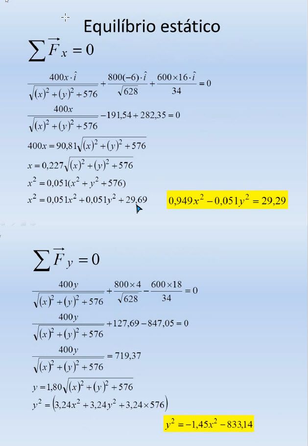
this same exercise solved in the hand presents different values, see:
this same exercise solved in the hand presents different values, see:
Are these simplifications shown in the example possible in MathCad?
I would take the opportunity, and ask for materials, tutorials on mathcad prime. tks
The first error I found:
Looks like you typed 600*48 instead of 600*18
I thank my friend, I changed the numbers
I made the calculations in hand, and even then the results do not hit mathcad, which may be happening
Furthermore you have to consider that x^2 = 36 has two solution! Not only x=6 but also x=-6.
So you will get four solution pairs.
But as you have squared (which is no equivalence transformation) you may get "solutions" which aren't solution to the original problem and you have to filter out those wrong solutions and only the one pair which Prime came up with from the beginning should be left. As you limit your manual calculation to just three decimals I won't expect too much precision - probably no more than one decimal.
Thanks a lot for the friend's explanation, and I would like to ask for some indication about subject books and tutorials. Tks
Book "Essential PTC Mathcad Prime 3.0" by Brent Maxfield: https://www.elsevier.com/books/essential-ptc-mathcad-prime-30/maxfield/978-0-12-410410-5
You may learn a lot from the help. OK, Mathcad's help sure was better structurized and easier to follow than Prime's help is, but I guess you still can profit by the examples given there. And when I look back how I started with Mathcad a long time ago it was by doing, trial and error, using the help and most importantly reading a lot in the old collab forum. Unfortunately, this forum here is just a poor imitation of it, but it's all we have left and hopefully still is of some use to you.
Furthermore a while ago PTC shared some worksheets for free which may also help you on the way. They withdrawed some of them, asking for money now, but some of them still are freely downloadable from this forum (but hard to find unless you know what to look for, I guess).
Here is the overview page
https://community.ptc.com/t5/PTC-Mathcad/PTC-Mathcad-All-Worksheets/td-p/450684
and here is kind of a tutorial you may find useful
Good luck and free feel to use this forum for asking in case you get stuck.
