Community Tip - Did you get an answer that solved your problem? Please mark it as an Accepted Solution so others with the same problem can find the answer easily. X
Hi,
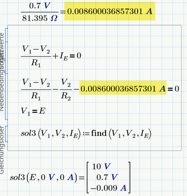
As I have this equality:
I see that I received 2 different answers out of the solve block for V2 and IE, though both systems of eq are the same...V2 and IE should not be the same for both cases?
Solved! Go to Solution.
