Community Tip - If community subscription notifications are filling up your inbox you can set up a daily digest and get all your notifications in a single email. X
May be it will help you!
The answers from 16x16 mesh to 30x30 mesh.
4*4,5*5,6*6,7*7,8*8=
Resistor mesh of 50x50
Resistor mesh of 200x200. This is my limit of evaluation of Mathcad Prime 6.
250x250
Solve diagonal resistance of resistor 2*3 mesh. This is good question for university students.
A. J. W. Duijvestijn, "SIMPLE PERFECT SQUARED SQUARES AND 2 x 1 SQUARED RECTANGLES OF ORDER 25" Math. Comp. 62 , pp. 325–332, 1994.
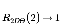
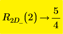
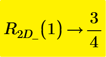
R2D(10000*10000)=11.804
R2D(20000*20000)=12.687 ohm.
Diagonal resistance of resistor mesh 50000x50000 is 13.854 ohm. 20 min. to solve the mesh.
Now all 2D resistor mesh electric circuits are solved. Not only diagonal resistance but also any two point of nodes of the circuit.
Diagonal resistance of Triangle resistor mesh of 1 ohm.
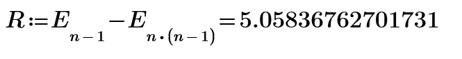
n=1 blue is 1*2/(1+2)=2/3 ohm.
n=2 green is 10/9 ohm.
n=3 red is 10/7 ohm.
Do you know the answer of n=4 ? The resistance of node (0,0) to (4,0).
Maple with compiler to solve 2D resistor mesh problem.
Resistor mesh of 60 nodes is made by Maple 2021. Resistance of node 1 to 31 is 17/11 ohm. The one of node 1 to 2 is 0.649 ohm. Not sure this is true or not but Mathcad can solve them.
104/165 ohm, 764/1171 ohm, 58/95 ohm, 47/110 ohm.
Now can solve any node to node resistance for many Graph Theory functions. Pictures made by Maple 2021.
Can you solve the (0,0)-(3,0) resistance?
The one of 10*10.
The potential views of the one of 40*40 register mesh.
