Community Tip - Did you get called away in the middle of writing a post? Don't worry you can find your unfinished post later in the Drafts section of your profile page. X
I am trying to find the efficiency of a 3 loop system. In order to find that, I need current equations of all the loops from which I can extract power of the circuit and eventually efficiency of the system. The solution I get is way too lengthy, I tried even manually to simplify them but had no luck.
Please help!
Solved! Go to Solution.
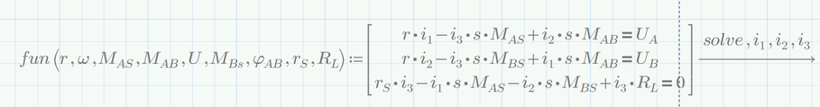
You can always assign the result, which Prime refuses to display as of its size, to a function in all unknowns and use this function for further calculations:
In case you really need to see the huge result, you may try symbolic modifiers like "assume, ALL>0" or "simplify" or "simplify,max". Sometimes it helps.
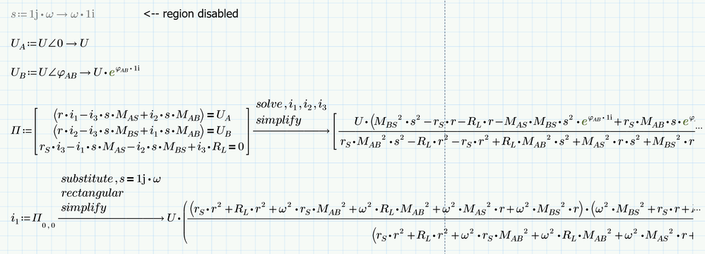
If you disable the definition of s:=1j*omega you get a result (in s) displayed and can later use "substitute,s=1j*omega" when you display the three results singly with "rectangular".
Thank you Werner for looking into it. But the fact that, I still cant the simplified solution of the currents, even when I used the suggested method by you.
In case, I dont get simplified results, then can I get the real and imaginary parts from the current?
Such as Current 1= Real+imag
from this I think, I might get the simplified solution.
I have attached the 3 pics, and that what i am looking to get but my equations are way too complex as they have a phase difference between the two sources.
I am not really sure what exactly you are looking for and why you are in need for a pure symbolic solution, I guess the pics you show don't show your exact calculations.
So either your problem actually IS so complex that the solutions can't be simplified any more or Prime is not the right tool. Its a fact the the symbolic engine in Mathcad & Prime was changed a couple of times and every change was a step backwards. In Mathcad 11 a version of Maple was doing its job quite well, in Mathcad 14&15 a software named muPad replaced Maple and now PTC starting with Prime 6 has replaced it for an Axiom fork named FriCAS. Each change also introduced new errors and bugs and limitations.
Maybe you have more luck using a software like Maple or Mathematica.
Getting the desired results with the symbolic in Prime often needs a lot of playing around with combinations of modifiers like "assume,U=real,R.L>0,..." or "simplify,may" or "factor" or using substitutions, or ....
Sometimes you have luck and sometimes you don't.
Its so annoying. Thanks for taking time.
Have a good day!
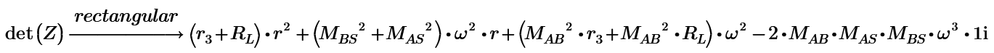
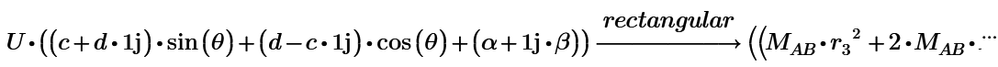
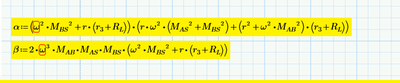
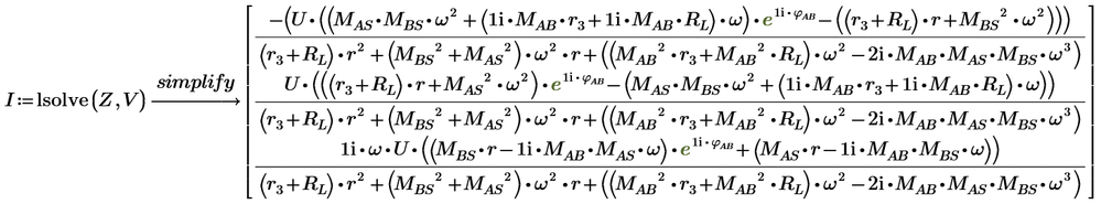
As already Werner says, the circuit should solved by below.
However, usung Z matrix as shown in your Figures, it is solved.
This answer is as same as your figures, but very long to show.
I will show the first one below.
Zoom last 4 lines.
Dear ttokoro,
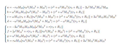
Here is the solution of the first determinant. You defined e as a
But I have a different solution, according to your method. Please have a look at it, and if possible please upload your mathcad file.
Best,
Waqas
Thanks for taking time and going through all the effort. I will look into it and get back to you, wether my "problem" was solved. But I really appreciate you, Thanks!!!
Thanks but I have Mathcad 5.0 😞
Dear Ttokoro, regarding your file "EC-69-PTC.mcdx"
I am confused about how have you defined Epsilon value. Shouldnt the Epsilon value be the one like in red and not the yellow?
Sorry but I dont understand how have you defined the variable Epsilon, Alpha, Beta etc....
Regards,
Waqas
e is a denominator of each rectangular of det(Z)
Epsilon is your definition.
Or, like this:
Success!
Luc
Thanks. Can you please upload your mathcad file.
Best,
Waqas
I didn't save it. The work was done in Mathcad 11. It will not work as shown in Prime. But it might help giving you suggestions of what you could try in Prime.
Success!
Luc
No worries, thanks for taking time and helping.
Best,
Waqas
