Community Tip - You can subscribe to a forum, label or individual post and receive email notifications when someone posts a new topic or reply. Learn more! X
Hello,
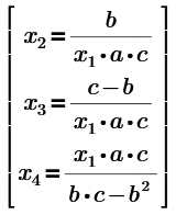
Why? Because results for a, b, and c should give:
MC Prime 9 fille attached.
The error message is ridiculous, considering that:
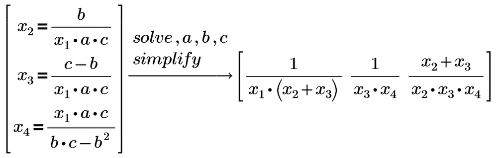
also does not have a finite amount of solutions. As it is, Prime will give:
and you can have:
I'd say, report it as a bug. Especially considering that Mathcad 11 gives:
Success!
Luc
Well, not every innovation is an improvement! This is especially true for Prime.
Here are the results of Prime 6 with the old muPad engine still available there, compared to your disappointing results with the new FriCas/Axiom symbol kernel.
Of course the "solution" a=any number b=c=0 is wrong, as a,b and c can't be chosen to be zero (same for x2)!
As Luc said - if you feel like doing so and think it may help, you may consider reporting your results to PTC support as a bug in the new symbolic engine.
I found one workaround...
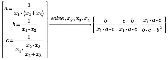
For example, from the first equation we can solve for b:
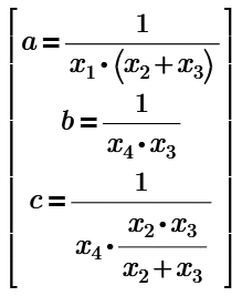
Then with that b:
And then:
"Of course the "solution" a=any number b=c=0 is wrong, as a,b and c can't be chosen to be zero (same for x2)!"
There is something to say for it: the equations can/could also have been written as:
x2*x1*a*c = b
x3*x1*a*c = c-b
x4*b*(c-b) = x1*a*c
Now if c and b are 0, then a (and x1...x4) can be any number:
But the fact that b and c appear dominantly in the denominator of a division prevents them from being 0.
However, that is still no excuse to flag an error for too many solutions.
Success!
Luc
However, that is still no excuse to flag an error for too many solutions.
Sure!
For a fully correct solution it would be necessary to say that the result is only valid if x1, x2, x3, x3 and x2+x3 are not zero, otherwise there is no solution (given the original equations).
